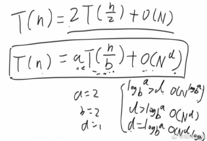
归并排序与递归的联系和差异归并排序:为先递归再合并,递归是二分的过程,并合是二合一的过程。时间复杂度计算如下:2024-02-01 03:35归并排序:为先递归再合并,递归是二分的过程,并合是二合一的过程。时间复杂度计算如下:算法继续阅读上一篇解决aliyun esc 上 proxmox 安裝 error2024-02-01下一篇vim plug 配置及常用快捷键2024-02-01