归并排序为先递归再合并递归是二分
归并排序:为先递归再合并,递归是二分的过程,并合是二合一的过程。时间复杂度计算如下 算法套路——递推方程K阶求解公式
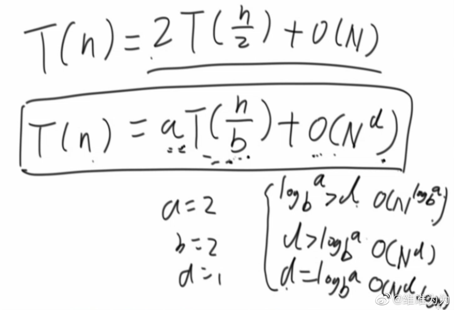
归并排序:为先递归再合并,递归是二分的过程,并合是二合一的过程。时间复杂度计算如下

算法套路——递推方程K阶求解公式

归并排序:为先递归再合并,递归是二分的过程,并合是二合一的过程。时间复杂度计算如下 算法套路——递推方程K阶求解公式
归并排序:为先递归再合并,递归是二分的过程,并合是二合一的过程。时间复杂度计算如下

算法套路——递推方程K阶求解公式
