《规模》读书笔记
《规模》读书笔记 [分类]: ( 读书 ) 汤普森说:“我们必须牢记,在物理学中,伟大的人发现了简单的事情。没有人可以预料,数学可以描述及物理学可以解释身体的构成到什么程度。或许所有的能量规律、所有的物质性质、所有胶体的化学性质都无力解释身体构造,因为它们都无法理解灵魂,但我并不这么认为。物理学没有
《规模》读书笔记
汤普森说:“我们必须牢记,在物理学中,伟大的人发现了简单的事情。没有人可以预料,数学可以描述及物理学可以解释身体的构成到什么程度。或许所有的能量规律、所有的物质性质、所有胶体的化学性质都无力解释身体构造,因为它们都无法理解灵魂,但我并不这么认为。物理学没有告诉我灵魂如何支配身体,生物如何影响思想和如何被思想影响是一个毫无头绪的谜题。生理学家的神经通路和神经元并不能解释意识,我也没有向物理学求教,上帝如何照耀人们的脸庞,恶魔如何背叛自身,但在身体的构造、生长和运行等世俗领域,依照我的浅薄认识,物理学是我们唯一的老师和向导。”
这就很好地解释了现代“复杂性科学”的信条,意识是涌现系统现象,而不是大脑中的神经通路和神经元的总和所引发的后果。
《生长与形态》一书是用学术语言写就的,但可读性很强,令人吃惊的是很少使用数学语言。这本书没有宏大原理的声明,只有一个信条,即用数学语言书写的物理学自然法则是生物学生长、形态和进化的主要决定因素。
尽管汤普森的书并没有解决衰老和死亡的问题,也没有提供特别的裨益或先进的技术,但其哲学为思考并运用物理学观点和技巧解决生物学中各种各样的问题提供了支持与灵感。在我看来,这指引我把人体比作机器,它需要喂料、维护、维修,但最终都会损坏并“死亡”,就像汽车和洗衣机一样。然而,为了理解衰老和死亡,无论是动物、汽车、公司还是文明,人们都先要了解是什么过程和机制让它们得以存活、运转,再了解它们是如何随着时间的推移而退化的。这很自然地会让人们思考维持存在与可能的增长所需的能量和资源,以及分配能量和资源用于维护与维修,减少损坏、退化、磨损等带来的破坏性力量所产生的熵。这一思路使我最初将重点放在新陈代谢在维系我们的生存方面所起到的核心作用上,而不是询问生命为何不能永久持续下去。
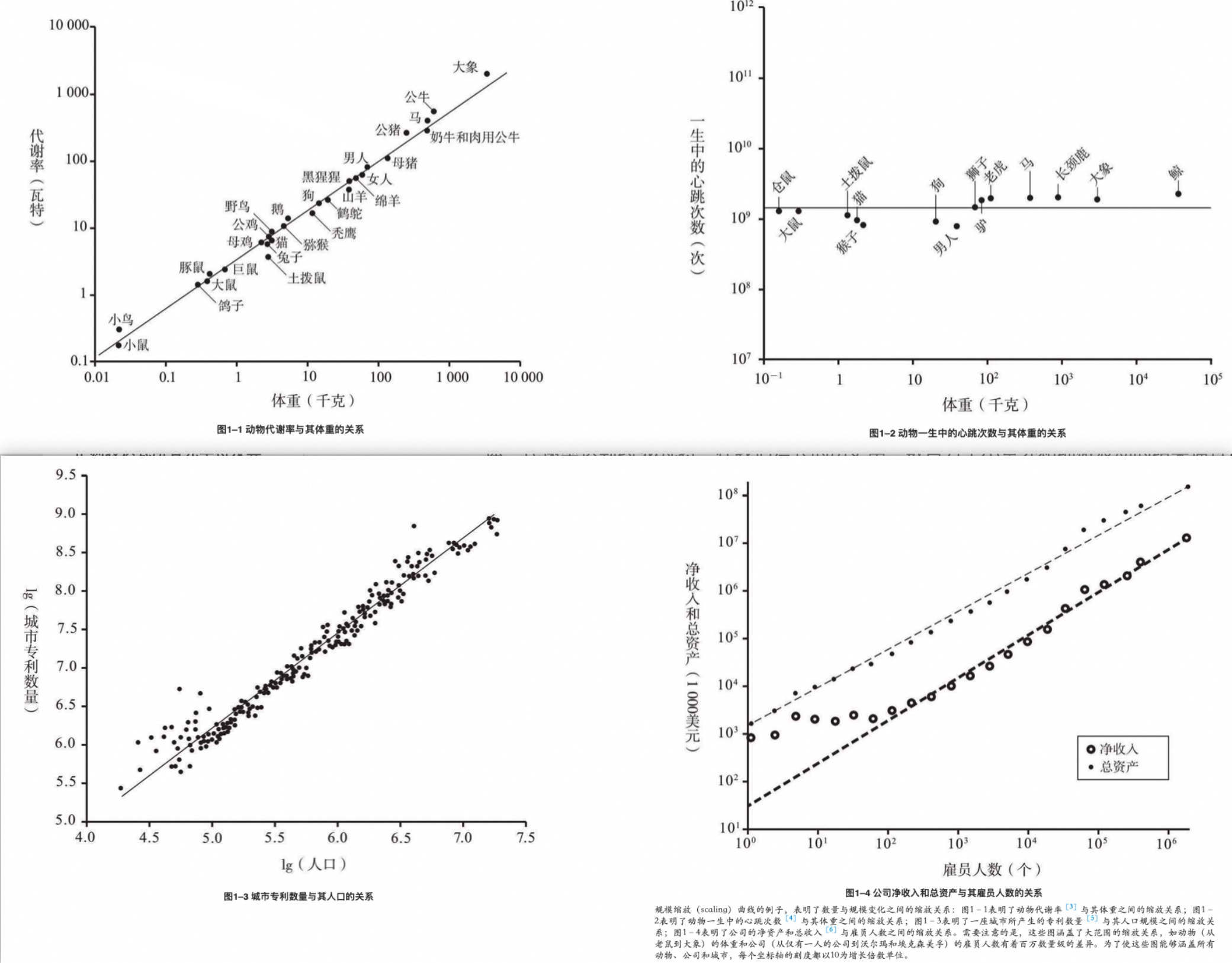
代谢率和自然选择.
每一个物种都会根据自己的生理特征不断进化,这些生理特征能够通过进化时间反映其独特的路径,并产生从细菌到鲸的整个生命谱系中非凡的多样性和变异。因此,经过数百万年的进化修补和适应后,或者说在经历了适者生存的游戏之后,人类最终开始直立行走,身高达到5~6英尺,能够存活100年,心率达到每分钟60次,收缩压达到100毫米汞柱,每天睡8个小时,主动脉约长18英寸,每个细胞中大约有500个线粒体,代谢率达到约90瓦特。在我们漫长的历史中,数百万个小意外和细微波动的结果通过自然选择的过程加以固化。
潜藏在复杂性下的简单性:克莱伯定律、自相似性和规模经济

一般来说,如果体重的增长幅度为任意倍数(在这个例子中是100),代谢率也会以相同倍数(在这个例子中是32)增长,无论最初的体重是多少,即无论它是老鼠、猫、奶牛还是鲸。这一系统性重复行为被称作标度不变性或自相似性,它也是幂律的内在特性。它与分形的概念密切相关,这一点将在后文中详细讨论。分形、自相似性在不同程度上普遍存在于宇宙之中,从银河系和星云到你的细胞、你的大脑、互联网、公司和城市等。
一只体重为老鼠的100倍的猫只需要32倍于老鼠的能量便能够维持生命,尽管其细胞数量也是老鼠的100倍,这是克莱伯定律的非线性特征所产生的规模经济的典型例子。单纯的线性推理将会预测认为,猫的代谢率是老鼠的100倍,而非32倍。与之相似,如果一只动物的体形扩大一倍,它无须增加一倍的能量来维持生存,而只需增加75%的能量。如此一来,每一次翻番都能够节约25%左右的能量。因此,以一种系统性可预测和定量的方式来看,生物体的体形越大,每个细胞每秒钟所产生的用于维持每克细胞组织的能量便越少。你的细胞的工作强度不如你的狗的细胞,但你的马的细胞的工作强度更小。大象的体重大约为老鼠的1万倍,但它的代谢率仅有老鼠的1000倍,尽管其要支撑的细胞数量是老鼠的1万倍。因此,一头大象的细胞的工作效率是老鼠的1/10,其细胞损伤率也会相应下降,大象也就由此更加长寿,这些将在第4章中详细解释。这就是系统性规模经济带来深远影响,在从出生到生长再到死亡的整个生命历程中不断回荡的例子。
网络与1/4次幂异速生长规模法则的起源
自然选择或许以一种最简单的方式解决了这个挑战,进化出了分级网络,在宏观的“储蓄池”与微观的节点之间分配能量和物质。
从机能上来说,生物系统最终要受到通过上述网络供给能量、代谢物和信息的速率的限制。这样的例子包括动物的循环系统、呼吸系统、肾脏系统和神经系统,植物的维管系统,细胞内网络,以及向人类社会供应食物、水、电和信息的系统。事实上,仔细想一想,你就会意识到,在光滑的皮肤下面,你实际上是一系列网络的集合体,每一级网络都在忙着运输所在层级的代谢能量、物质和信息。图3–7展现了其中一些网络。
由于各个规模的生命体都是由此类分级网络支撑的,人们很自然地会推测,1/4次幂异速生长规模法则 起源的关键,同样也是生物系统粗粒度行为规律的关键,就在于这些网络那普遍的物理和数学特性。换句话说,尽管它们进化的结构存在丰富的多样性,有些像房子中的水管一样由管道构成,有些则由一束束像电线一样的纤维构成,还有一些是发散性的通路,但它们都受到同样的物理和数学原理的约束。
哺乳动物、植物的代谢率和循环系统
氧气对维持ATP分子的持续供给而言十分重要,这是我们必须持续呼吸的原因。ATP是使得我们存活下去的代谢能量的“基本货币”。
吸入的氧气被输送到我们布满毛细血管的肺部的表面膜上,并被我们的血液吸收,继而通过心血管系统输送到我们的细胞中。氧分子和血液细胞中充当氧气载体的富含铁元素的血红蛋白结合在一起。这个氧化过程使我们的血液呈红色,正如铁在空气中氧化成铁锈一样。在血液将氧气输送到细胞中后,红色就变成了浅蓝色,这是静脉呈蓝色的原因。静脉是将血液输送回心脏和肺部的血管。
氧气输送到细胞的速度及血液通过循环系统传输的速度也就成了我们代谢率的指标。同样地,氧气吸入我们口中的速度及其进入呼吸系统的速度也是代谢率的指标。这两个系统紧密相连,血流速度、呼吸速度和代谢率都彼此互成比例,存在简单的线性关系。因此,无论哺乳动物的体形有多大,每呼吸一次,均心跳四次。 氧气运输系统的紧密相连就是心血管网络与呼吸网络的特点在决定和约束代谢率中起重要作用的原因。
当血液离开心脏时,它会通过由心脏跳动引发的波动沿着主动脉流动。这一波动的频率与心率一致,大约为每分钟60次。主动脉又分为两个动脉,当血液抵达第一个分支点时,一些血液流向其中一个通道,另一些血液则流向另一个通道,都是以波动的形式流动的。波动的特点是,当遭遇障碍时会产生反射,镜子是最明显的例子。光线是一种电磁波,因此,你所看到的图像只是镜子表面对源自你身体的光波的反射。其他常见的例子还包括水波在遇到障碍时的反射或者声波遭遇硬表面时反射的回声。相类似的是,在主动脉中传输的血液波在遭遇到分支点时会部分反射,剩余的血液会继续传输至子动脉。这些反射可能会带来很糟糕的后果,因为它们意味着你的心脏其实是在对自己泵血。此外,随着血液沿着不同层级的血管流动,在网络的每一个分支点都会产生相同的现象,上述效应会大大增强,你的心脏需要支出大量能量来克服这些多重反射。这是一个极端低效的设计,为心脏带来了巨大的负担,也浪费了很多能量。
为了避免这一潜在的问题,并尽量减少我们心脏必须承担的工作,我们的循环系统的几何结构不断进化,使得网络中的任何分支点都不存在反射现象。 有关这一点如何实现的数学原理和物理学原理有些复杂,但结果是简单明了的:该理论预测认为,如果从分支点出发的子血管的横截面面积总和与抵达分支点的母血管的横截面面积总和相等,那么在任何分支点都不会出现反射。
举一个例子,两根一样的子血管,有着相同的横截面面积(在真实的循环系统中近似正确),假设母血管的横截面面积为2平方英寸,为了确保没有反射,那么每一个子血管的横截面面积就必须都是1平方英寸。由于任何血管的横截面面积都与其半径的平方呈比例关系,另一种表述这个结果的方式便是,母血管半径的平方必须是每一根子血管半径平方的两倍。 因此,为了确保不会有能量因反射而损失,连续的血管的半径都必须以规律的自相似方式按比例变化,每一个分支的半径都是其分支半径的√2倍。
自相似性和神奇数字“4”的由来
循环系统等大多数生物网络都展示出了作为分形的几何学特性。你或许熟悉这一观点。简单来说,分形就是在所有比例或所有放大倍数下看起来都极为相似的物体。一个经典的例子是图3–10所示的西蓝花头部。分形在自然界中普遍存在,从肺部、生态系统到城市、公司、云和河流,无处不在。
如果一物体是分形的,当分辨率提高时,不会出现新的图案或细节:相同的图案会一遍又一遍地自我重复。这当然是一个理想化的描述,在现实中,不同分辨率层次上的图案都会有细微的差别,最终递归重复停止,新的结构设计图案会出现。如果你持续将西蓝花分为越来越小的块,它们终将会失去西蓝花的几何特征,并最终展示出它们的组织、细胞、分子的结构。
从分级网络来看,如果你分割这一网络的一小部分,并适当地将其按比例放大,得到的网络就跟最初的网络没什么两样。每一层级的网络都是相邻网络按比例缩放复制后的版本。当我们谈论循环系统的脉动特性中的阻抗匹配的结果时,我们看到了一个明确的例子,等面积分支导致连续血管半径按照√2的倍数缩小。因此,举例来说,如果我们将分为10个分支的血管的半径进行比较,它们都与 (√2)^10=32的倍数相关。由于我们的主动脉半径约为1.5厘米,这意味着,第十个分支层的血管半径只有0.5毫米。
因为血流在沿着网络流动时会从脉动变为平缓,所以我们的循环系统实际上并不是持续性的自相似,也不是精确的分形。在平缓区域内,血液流动受到黏滞力的影响,将耗费的力量最小化,这就带来了自相似性,相连续的血管的半径按照 ³√2(=1.26…)这一常数因子不断缩小,而不是按照脉动区域的 √2(=1.41…) 这一常数因子缩小。因此,循环系统的分形特征在从动脉到毛细血管时发生了细微的改变,反映了血液在从脉动区域向平缓区域流动时的特征的变化。另外,树木从树干到树叶维持了近似相同的自相似性,其半径按照的等积率连续缩小。 空间填充要求网络必须服务于各个层级的生物体,√2这便要求血管的长度具有自相似性。为了填充三维空间,连续血管的长度必须按照这一常数因子缩小,与半径相比,这在整个网络中持续有效,包括脉动区域和平缓区域。
网络的体积便是其所有血管或分支的体积的总和,可以通过它们的长度和半径计算出来,由此我们便将内部网络的自相似性与体形大小联系在一起。这是长度的立方根规模法则和半径的平方根规模法则之间的数学关系,受到血液体积的线性缩放和终端单元恒定性的约束,由此产生了1/4次幂异速生长指数。 由此而来的神奇数字“4”便成为网络所构成的常规三维体积的有效延伸,另一个维度则来自网络的分形特征。
自然选择利用分形网络的数学奇迹,优化了其能量分配,让生物体就像在四维空间而不是标准的三维空间内运转。 从这个意义上说,普遍存在的数字4其实应该是3+1。一般来说,那个1是空间维度。如果像我那些信奉弦理论的朋友所说的那样,我们生活在11维度的宇宙中,神奇数字就应该是11+1=12,我们讨论的就应该是1/12次幂规模法则的普遍性,而非1/4次幂规模法则。
分形:神秘的边界延长 在自然界中,几乎没有什么东西是平缓的——大多数事物都是有褶皱的、不规则的、细圆齿状的,通常都以一种自相似的形式存在。 想想森林、山脉、蔬菜、云和海洋表面。由此一来,大多数自然物体都没有绝对的客观长度,在陈述测量结果时,很重要的一点是要报告分辨率是多少。那么,人们为何花了超过2 000年的时间才意识到如此基本、现已显而易见的事情呢?这很可能源于二元论,随着我们逐渐从与自然世界的紧密联系中分离出来,越来越远离决定生物学的自然之力,这种二元论开始出现。当我们发明语言,学习如何利用规模经济的优势,组成社区,开始制作手工艺品时,我们事实上改变了我们日常生活及其周边环境的几何形状。在设计和制造人类工程学产品时,无论是原始的罐子和工具,还是现代化的复杂汽车、计算机和摩天大楼,我们都使用并且追求直线、平滑曲线和平滑表面的简单性。量化测量的发展及数学的发明,尤其是欧几里得几何的理想化范式,完美地展现了这一点。这种与我们创造的手工艺品世界相适应的数学,伴随我们从一种哺乳动物进化到社会智人。
在我们周围直观的“自然”世界中却并非如此,它高度复杂,而且被褶皱、波纹和小褶皱主导。正如曼德尔布罗简单明了地概述:“平缓的形状在野外很少见,但在象牙塔和工厂中极为重要。” 从19世纪初开始,数学家便已经开始思考不那么平缓的曲线和平面,但他们并非受到自然界中此类几何图形普遍存在的激励。他们的动机仅仅是出于学术兴趣发掘新的观点和概念,如是否有可能构造出违反欧几里得神圣教条的一致几何形状。
生命的第四维
1/4次幂规模法则可能与新陈代谢的生物化学过程、遗传密码的结构和功能,以及自然选择过程一样具有普遍性和独特性。绝大多数生物组织表现出非常接近于3/4的代谢率和1/4的内在时间和距离。这些分别是有效表面积和体积填充分形式网络的线性参数的最大值和最小值。这表明,自然选择能够利用这种分形主题的变化,产生令人难以置信的各种生物形式和功能。但这也证明了所有这些生物都遵循共同的1/4次幂规模法则,而且其代谢过程有着严格的几何和物理学限制。简单地说,分形几何赋予了生命一个新的维度。
为什么没有体形大如哥斯拉般的哺乳动物?
网络理论的一个更神秘的结果是,毛细血管等终端单位之间的平均距离与身体重量之间呈幂指数缩放,其指数为1/12(等于0.083 3……)。这是一个异常小的指数,代表着一种身体尺寸非常缓慢的变化。它预测网络将变得越来越张开,也越来越稀少。比如,较大树木的树冠通常比小树更大,而且随着树木尺寸非常缓慢地增大,树叶间的平均距离也在缓慢增大。同样,虽然蓝鲸的体重是鼩鼱的1亿(108)倍,但其毛细血管的平均距离仅为鼩鼱的(108)1/12倍,约为4.6倍。
毛细血管为细胞服务,所以网络的张开意味着随着尺寸增加,相邻毛细血管之间有更多的组织需要被服务。 因此,平均来说,每个毛细血管必须系统地服务更多的细胞,这反映了前面讨论过的规模经济效应。然而,这种增长不可能是无限制的。作为不变单元的每个毛细血管能向组织供应的氧气是固定的。所以如果需要由单个毛细血管供氧的细胞组变得太大,其中一些细胞将不可避免地被剥夺氧气,技术上称之为缺氧。
诺贝尔奖得主、丹麦生理学家奥古斯特·克罗(August Krogh)在100多年前首次定量地解释了氧气如何扩散到毛细血管管壁和组织给细胞供氧。他意识到,在没有足够的氧气以维持距离太远的细胞之前,氧气的扩散距离是有限的。 这个距离被称为最大克罗半径,它是围绕毛细血管长度的假想圆柱体的半径,就像一个护套,包含了所有能够维持的细胞集合(提醒你,毛细血管的长度约为半毫米,是其直径的5倍左右)。由此,人们可以计算出一个动物最大可以有多大,因为其毛细血管之间的距离如果变得过大会导致缺氧。由此,我们可以大致推算出动物的体重最多也就100多吨,这大致相当于最大的蓝鲸的重量,这意味着它们是哺乳动物家族链的体形顶端。
生长
所有的哺乳动物和其他动物都和我们一样遵循同样的生长轨迹,这被生物学家称为确定性生长,以区别通常在鱼类、植物和树木中观察到的不确定生长,这些物种的生长会一直延续至死亡。
因为新陈代谢的能量被按比例分配于现有的细胞维护和新细胞的生长,能量被用于生成新组织的速度只是代谢率和维护现有细胞所需的能量消耗速度之间的差值而已。后者与现有的细胞数成正比,因此与生物重量呈线性增长关系,而代谢率呈3/4次幂增长。这两种增长的指数差异在生长过程中起到了关键作用。为了确保你能理解这是什么意思,我用一个简单的例子进行说明。假设一个生物体的体形加倍,那么它体内细胞的数量也会相应加倍,所以维持细胞生长所需的能量也增加了一倍。然而,其代谢率(能量供应)仅为原来的2^3/4倍,约等于1.682,小于2。所以用以维持细胞所需的能量比新陈代谢所能提供的能量增长得更快,这迫使可用于生长的能量系统地减少并最终为零,从而导致生长停止。换句话说,你停止生长是因为维护现有细胞所需的能量与代谢产生的能量之间的差值随着体形的增大也在不断增大。
回想一下,代谢率之所以呈3/4次幂变化,就是因为网络的霸权。此外,因为网络的整个流动最终都会流经所有毛细血管,并且因为它们在物种之间以及个体发育期间是不变的(对于老鼠、大象以及它们的孩子来说,毛细血管是一样的,我们也一样),它们的数量也同样以3/4次幂缩放。因此,随着生物体的生长和体形的增长,每个毛细血管必须系统地为更多细胞服务,遵循1/4次幂规模法则。正是这个关键的毛细血管和细胞的接触面的失配控制着生长,最终导致生长停止:供应单位(毛细血管)数量的增加不能满足客户(细胞)数量增加带来的需求。
所有这些都可以用数学方程式表达,该方程式可以通过解析求解,得出一个简洁的公式,以预测体形大小如何随着年龄增长而变化。这定量地解释了为什么我们在刚出生时生长得很快,后来又逐渐变缓,最终停止。这个生长的方程式最重要的一个特征在于它只取决于跨物种的非常少量的“通用”参数,例如细胞的平均重量、生成一个新细胞需要消耗多少能量以及新陈代谢的总体缩放比例等。这些决定了所有动物的生长曲线。图4–3~图4–6是依据该预测得出的样本,它们说明同样参数的方程式如何预测不同种类动物(图中所示是两种哺乳动物,鸟和鱼)的生长曲线,而且数据显示生长曲线高度一致。
通过第2章介绍过的无量纲量,这种生长的普遍性可以被简洁地展现出来。回想一下,这些标度不变的变量组合不依赖测量它们的单位。一个微妙的例子是两个重量的比例,因为不管它们以磅还是千克为单位,都会得出相同的值。我想强调的是,科学的所有规律都可以表达为这些数量之间的关系。因此,图4–3~图4–6不是简单地描绘体重和年龄之间的关系,在这些图中,数量取决于单位(在这个例子中,单位分别是千克和天),绘制无量纲质量变量与恰当定义的无量纲时间变量的关“系图,我们可以得到一条幂指数不变的曲线,适用于所有动物。你可以在原始论文中找到定义这些无量纲量的实际数学组合如何由理论确定。
生长主要由能量如何传递到细胞中决定,而这受到超越身体设计的网络的普遍性限制。在由该理论推导出的有关生长的诸多结论中,有一点是:它预测了细胞维护和生长之间的代谢能量分配。生物体出生时,几乎所有的能量都被分配用于生长,维护部分相对较少,而个体成熟后,则全部能量都用于维护、修复和替换。

树木的生长在一定程度上挑战了这一理论,因为随着树木生长,越来越多的物理结构变成了枯枝,不再参与代谢能量预算,但其在力学稳定性中仍起着重要作用。
图4–11所示的是依据鸟类和两栖变温动物(鱼类、两栖动物、浮游生物和水生昆虫)的受精卵胚胎发育时间和温度绘制的半对数图,其中指数函数应呈直线。因为发育时间同时取决于温度和质量,它们对质量的依赖性已经通过依据1/4次幂规模法则对数据进行了重新标度而被消除,以纯粹展现其对温度的依赖性。我们可以很容易看出,这样做后,数据与预测值非常吻合,这证实了我们对温度指数依赖性的预测。图4–12展示了我们用同样的方法对质量进行调整之后的一系列无脊椎动物的寿命与绝对温度倒数的关系曲线。

生物体生命中最重要的两件事,出生和死亡,通常被认为是相互独立的,但实际上是密切相关的:这两个图的斜率由完全相同的参数确定,0.65eV,代表了生成ATP分子所需的平均能量。
周围温度变化2℃便会导致生物生长率和死亡率上升20%~30%。这是一个巨大的变化,而其中的问题正在于我们。如果全球变暖导致温度上升2℃左右,那么几乎所有生物的生命速率都将加快20%~30%。
衰老与死亡
最长寿命的概念非常重要,这意味着如果没有一些“非自然”因素的干扰(也就是那些相信存在长生不老药的人所探索的),自然进程会难以避免地将人类寿命限制在125岁左右。
我们熟知存活曲线与死亡曲线的一般结构:大多数个体在生命早期死亡率极低,但随着年龄增长,越来越多的个体死去。到最后,个体的存活概率完全消失,而死亡率达到100%。科学家对不同社会、文化、环境和物种的存活曲线和死亡曲线进行了大量的统计分析,得出了一个令人惊讶的结论:大多数生物体的死亡率与年龄是不相关的!换句话说,无论年龄几何,在任意一个时间段内死亡的相对个体数量都是相同的。 例如,如果5%的人口在5~6岁之间死亡,那么45~46岁之间,或95~96岁之间的死亡率,同样也是5%。这个结论听起来似乎有悖常理,但是如果我们换个角度想就能明白了。一个恒定的死亡率意味着在某个时间段内死亡的个体数与存活到该时间点的个体数成正比。
个体存活率遵循一个简单的指数曲线,这意味着随着年龄的增长,个体存活的概率呈指数级减少,换句话说,个体死亡的概率呈指数级增加。
这恰恰也是物理世界中许多衰退过程遵循的规则。物理学家没有使用“死亡率”一词,而是用术语“衰变率”来量化放射性物质的衰变过程。在这个过程中,“个体”原子通过发射粒子(α、β 或γ射线)改变其状态,直至“死亡”。衰变率通常是恒定的,因此放射性物质的数量随时间呈指数级减少,就像生物种群中的个体数量变化一样。物理学家还使用“半衰期”这个概念,即原始放射性原子的一半发生衰变所需的时间来描述衰变速率。半衰期是考察衰退过程的一个非常有用的指标,并且已被广泛运用于许多领域。在药物学中,半衰期可以用于量化机体处理药物、同位素和其他物质的时间效能。
在第9章中,我将使用这个概念来讨论公司的“死亡率”,并展示一个令人惊讶的结论:公司也遵循相同的指数衰减规律,它们的死亡率不随时间而变化。事实上,数据显示,美国上市公司的半衰期只有10年左右。所以,在经过50年之后(5个半衰期),只有 (1/2)^5= 1/32(约3%)的公司仍能保持运营。这个现象引出了一个有趣的问题:生物体的死亡、同位素的衰变和公司的消亡过程展现出的惊人的一致性。
即使曲线顶部朝着更长的寿命靠近,人们开始活得更长,但是曲线最终仍会下降并接近某个数值。所以尽管人类取得了巨大的成就,平均寿命不断增长,但曲线的终点,即存活率为零和死亡率为100%,总是保持不变——125年左右。这显然说明,生物体的寿命存在极限。

损伤出现在多个层级,通过多种与物理或化学输运现象有关的机制发生,但大致可以分为两类:一是传统的由黏性阻力引起的物理磨损,类似两个物体相互接触就会产生普通的摩擦,如同鞋子或是轮胎的磨损;二是自由基(游离基)引起的化学损伤,也是呼吸代谢过程中生产ATP的副产品。自由基是指失去一个电子的原子或分子,它们因携带正电荷而表现出高度的反应活跃性。大多数化学损伤是由氧自由基与维持生命的细胞成分发生反应引起的。DNA的氧化性损伤可能会尤为严重,因为在非复制型细胞里,如脑部神经和肌肉组织中的细胞,自由基会对DNA转录造成永久性的损伤。更严重的是,它会对基因组的调控区造成永久性损伤。尽管我们对氧化性损伤在衰老过程中究竟会发挥多大作用、会引起何种程度的损伤尚不明了,但它已推动制作抗氧化剂的微型产业不断发展,例如维生素E、鱼肝油、红葡萄酒以及其他能对抗衰老的灵丹妙药等产业。
寿命延长
A. 温度和寿命延长:由于代谢率与终端单元的数量成比例,而且大部分损伤发生在终端单元,我们可以直接将寿命与代谢率联系起来。因此,寿命也可以称为身体质量与代谢率之比。换言之,寿命与生物体单位质量的代谢率成反比,因此也与细胞平均代谢率成反比。我在前面讨论代谢生态学理论时提到过,寿命系统性地随身体质量的1/4次幂变化,随温度呈指数级变化。
如图4–13所示,通过解释为何寿命随着温度降低而系统地、可预见地呈指数级延长,我们找到了一个有趣的方式检验该理论。这表明,原则上可以通过降低体温延长寿命,因为这降低了细胞代谢率,因此也降低了损害发生的速率。效果非常明显:体温下降2℃,寿命可以延长20%~30%。[19]因此,若人为地将体温降低1℃(约为1.8°F),我们的寿命可以延长10%~15%。可问题在于,若想真正延长寿命,我们必须一生都这么做。“体温降低明显可能对我们产生许多有害影响,甚至可能对生命产生潜在威胁。正如之前提到的,在未完全了解多层次时空动力学的情况下,贸然改变该复杂适应系统中的一部分会导致其他意想不到的后果。
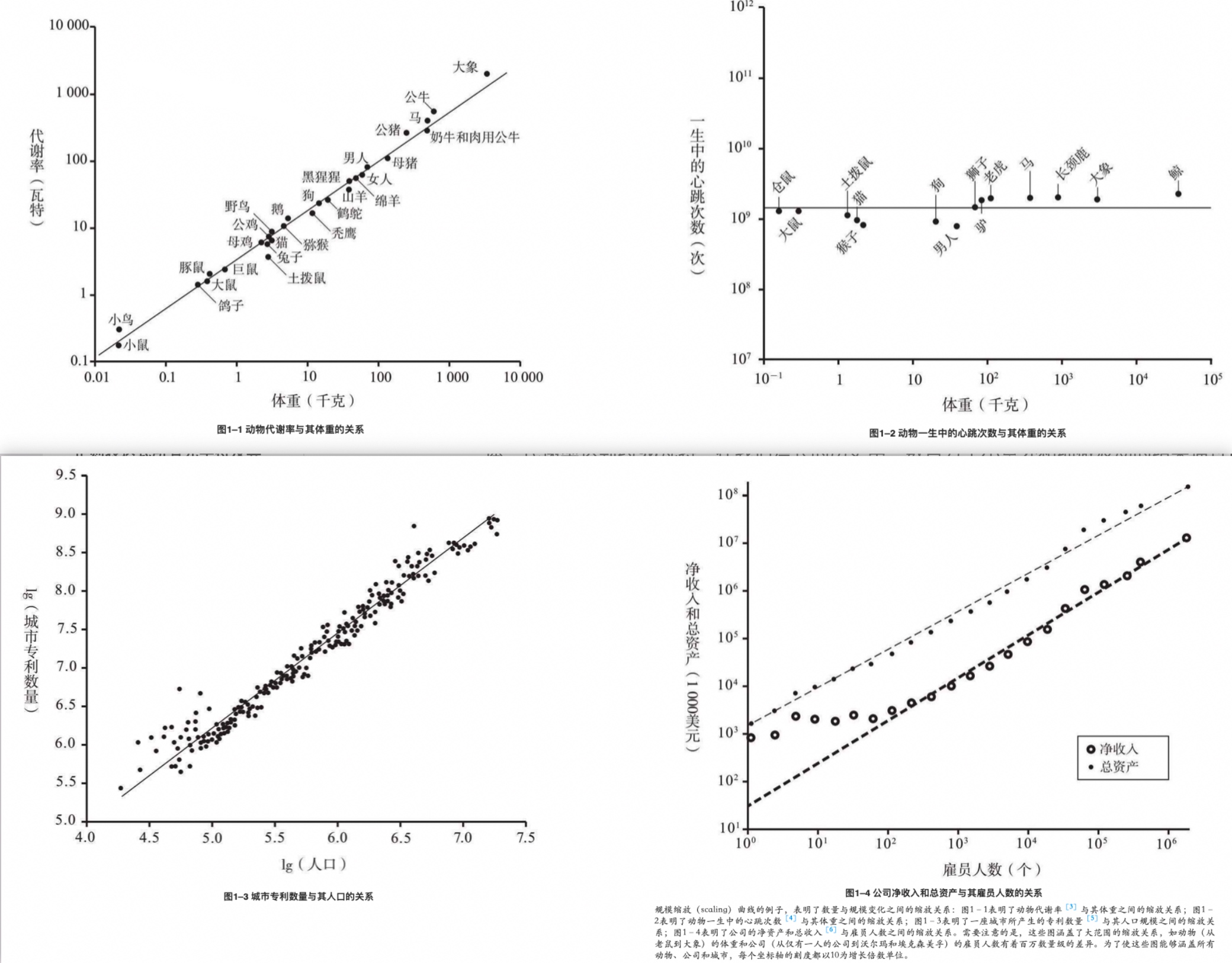
B.心跳与生命的节奏:这些数据也证实了寿命大约随身体质量的1/4次幂发生变化。根据心血管系统理论,心率随身体质量的1/4次幂下降,所以当用心率乘以寿命时,对身体质量的依赖性就被抵消了:一方减少一定的量,另一方则会增加相应的量,最终导致数量不变,该数量对于所有哺乳动物而言都一样。但是,寿命与心率的乘积仅是一生中的心跳总次数,因此该理论预测,所有哺乳动物的心跳总次数都应该是一样的,这与第1章图1–2所示的数据一致。该论点也可以延伸至呼吸链复合体的基础层面,呼吸链复合体是线粒体内的基本单元,而线粒体是合成ATP的主要场所。根据这个理论,对所有哺乳动物而言,合成ATP的反应发生次数都一样。
正如之前提到的那样,大型动物寿命长、节奏慢,而小型动物寿命短、节奏快,但心跳总次数等生物指标大致相同。如果按照1/4次幂重新调整变量,所有哺乳动物的生命史事件都会步入同一轨迹,其中一例为图4–8所示的普适生长曲线。或许,所有的哺乳动物都会经历几乎相同的生命顺序、节奏和寿命?这是很有意思的想法。从前,当我们还“只是”另一种哺乳动物时,我们确实如此。随着社会共同体与城市化的到来,我们进化成了另一种东西,大幅偏离了使我们与大自然和睦相处的约束。我们的有效代谢率提高了百倍,寿命翻了一番,生育水平有所下降。
C.节制卡路里与延长寿命:我们看到,细胞代谢率越快,寿命反而会缩短。因为随着动物体量增大,每一个细胞受到的损害会减小,所以体积较大的动物活得更久。然而,在物种内部,比如我们每个人这样的个体,能够简单地通过少吃一点降低细胞代谢率,减少细胞的代谢损伤,也许还能延年益寿。这种策略被称为卡路里节制法。 这种方法历史悠久,也颇受争议,一直是许多动物研究关注的焦点。这些研究中的许多都卓有成效,还有一些则效果平平,形势尚不明朗。无论寿命能否延长,几乎所有的研究都显示这样做的确能延缓衰老。我们知道,想要长时间进行一项受控实验并非易事,而且我们不可能将人类作为实验对象,设计欠佳也会加大实验难度。然而我在某种程度上支持这些研究,因为我相信这种代谢减缓可以减少细胞损伤,从而延缓衰老、延年益寿的理论在概念上是正确的。 大致来讲,这一理论推测,寿命的最高值以及平均寿命,与卡路里的摄入量呈反相关关系。从字面上理解便是,根据这一理论,如果你能坚持每次减少10%的食物摄入量(相当于每天减少几百卡路里),你的寿命最多能延长10%(相当于多活10年之久)。图4–19展示了卡路里节制的数据,这些数据源自罗伊·沃尔福德(Roy Walford)在20世纪80年代以老鼠为对象所做的一系列实验,罗伊·沃尔福德曾是加州大学洛杉矶分校医学院的病理学家,是通过卡路里节制法延长寿命的主要倡导者。[20]该数据以存活曲线的方式展现了几只老鼠在不同食物摄入量下的存活时长情况。食物摄入量对老鼠寿命的影响的确巨大,实验结果与“减少10%的卡路里摄入,延长10%寿命”的实验预期一致。但是使寿命翻一番的预期没有达成:大规模地减少卡路里摄入后,寿命延长了大约75%,而非预期的100%。然而,寿命长短与卡路里摄入量之间的总体关系符合上述理论。
城市、城市化和全球可持续性
城市是文明的熔炉,创新的中心,创造财富的引擎,权力的中心,吸引创意个人的磁石,推动观念、增长和创新出现的催化剂。但是,城市同样也有其阴暗面:它们是犯罪、污染、贫困、疾病、能源和资源消耗轮番上演的舞台。快速城市化和社会经济的加速发展带来了许多全球性挑战,包括气候变化、环境影响、食品危机、能源和水资源的获取、公共卫生健康、金融市场以及全球经济。
经济在以指数级增长,我们依然处在“规模越大,增长越来越快”的轨道上,只不过是增长速度变慢了。
经济增长主要受人力资本投资、创新和知识创造的驱动。罗默宣称:“如果无法找到新的方法或理念,每一代人都会感受到有限资源和不良副作用带来的增长局限。每一代人都低估了找到新方法和理念的可能性。我们一直未能明白,还有多少理念等待我们去发掘。可能性不会用加法,而是会用乘法。”换句话说,这意味着观念和创新会成倍地增长(指数级增长),而非算数增长(线性增长),而且人口也会呈指数级增长,整个过程都是开放的,而且是没有限制的。

令人惊讶的地方在于,这一规模经济是系统性的,几乎所有国家都是如此,都遵守相同的规模法则,而且指数都接近0.85。更加令人惊讶的是,其他与交通和供给网络相关的基础设施的数量也都以同样的指数按比例缩放,如电线、道路、水管和燃气管道的总长度。此外,无论数据从何地获得,这一系统性行为似乎在全球范围内都一致。因此,在整体基础设施方面,城市的表现就像是生物体,它们遵守简单的幂律,按亚线性比例变化,表现出系统性的规模经济,只是指数的数值略有不同(生物体为0.75,城市为0.85)。
一座拥有1000万人口的城市与两个各自拥有500万人口的城市相比,需要的基础设施数量要少15%,这便带来了材料和能源的巨大节约。
而这一节约带来了排放和污染的大幅减少。由此一来,伴随规模而来的更高效率就产生了非直观却无比重要的结果——平均来看,城市规模越大,越绿色,人均碳足迹越小。从这个意义上说,纽约是美国最绿色的城市,而我居住的圣塔菲则是更浪费的城市。平均来说,圣塔菲的居民向大气中排放的碳是纽约居民的两倍。

这些搜集来的数据还表明,社会经济数量在生物学中没有对应项,如平均工资、专业人才的数量、专利数量、犯罪案件数量、餐厅数量等,而GDP也令人惊讶地规律性地、系统地按比例缩放。
城市越大,社会活动越丰富,机会越多,工资越高,多样性越丰富,享受好餐馆、音乐会、博物馆和教育设施的机会也更多,繁荣、兴奋和参与感也越明显。事实证明,大型城市的这些特点对全世界的人们而言极具吸引力,与此同时,人们也无法超越、忽视或低估不可避免的负面因素以及不断增多的犯罪、污染、疾病等阴暗面。人类很擅长“趋利避害”,尤其是提到金钱和物质幸福度时。除了城市规模增大所带来的个人利益以外,系统性规模经济也将带来巨大的集体利益。二者加在一起,个人利益和集体利益随着城市规模的增大而系统性增加,这已经成为全球城市化持续爆炸式增长的潜在驱动力。
城市是巨大的社会孵化器
米尔格拉姆发现,平均而言,任何两个人之间的连接数量近似于6。“六度分隔”的说法也随之出现,即我们彼此之间仅仅相隔6个连接。因此,令人意想不到的是,我们令人吃惊地密切相连。
几乎所有社群都适用六度分隔理论。此外,模块结构也是自相似的,小世界网络的许多特点都符合幂律规模法则。
米尔格拉姆的一位高中朋友是知名社会心理学家菲利普·津巴多(Philip Zimbardo),因为20世纪70年代初在斯坦福大学所做的“监狱实验”而闻名。这些实验受到了米尔格拉姆有关权力服从研究的启发,目的在于展示正常人(在这些实验中是斯坦福大学的学生)在扮演监狱看守者时可能被引诱实施虐待,或者在扮演囚犯时表现得极端被动和压抑。津巴多的研究因为伊拉克战争期间阿布格莱布监狱虐囚事件遭到曝光而出名。
米尔格拉姆的权力服从实验表明,一个人无须本质邪恶或反常,便会做出非人道的举动。个体与其所处群体之间的关系自然地使他开始研究城市生活的心理维度问题。1970年,米尔格拉姆在《科学》杂志发表了一篇题为《城市生活体验》的引人注目的论文,为城市心理学这一全新领域奠定了基础,而且这也成为他之后的兴趣焦点。
米尔格拉姆感受到了在大城市生活带来的心理改变。一般观点认为,在所处环境之外,个体通常会专注于自己的事情,极力避免相互作用或参与,很少会感激带来参与和承诺的人或事。因此,大多数人在亲眼见证犯罪、暴力或其他危机事件时不愿意出手干预或打电话呼救。米尔格拉姆设计了一系列具有创造性的实验来对显而易见的信任缺失、恐惧和担心的感觉以及文明礼貌的缺乏进行调查。例如,他曾经请个人调查员摁门铃,声称自己记错了朋友的地址,想借用电话。他发现,与大城市相比,调查员在小城镇被允许入户的可能性更大。此外,75%的大城市受访者紧闭大门回应请求,或者通过猫眼向外观看;而在小城镇,75%的人打开大门应答。
米尔格拉姆借用了电路和系统科学理论中的“超载”一词来形容这一城市生活带来的阴暗心理。在大城市,我们受到太多的景象、太多的声音、太多的“事件”以及太多的人的高频次持续轰炸,我们无法处理所有的感觉信息。如果我们要对每一个刺激做出反应,我们的认知和心理电路就将瘫痪,就像超载的电路板保险丝会烧毁一样。我们有些人的确会这样。米尔格拉姆认为,我们在大城市中碰到的反社会行为其实是对城市生活中的感官冲击所做出的适应性反应,如果没有这样的适应,我们就会烧断自己的保险丝。
六度分隔理论告诉我们,与表象不同,我们之间的相互联系远比我们所知的更加密切。此外,小世界网络通常会表现出幂律规模法则的特点,反映出潜藏的自相似性质以及个体小集团数量上的优势。这种模块式的群组结构是我们社会生活的核心特点,无论是我们的家庭、我们的亲密朋友圈、我们工作时所在的部门、我们的邻居,还是我们生活的整座城市。
邓巴提出,一个普通个体的社会网络可以被解构为离散嵌套集群的层次序列,它们的规模遵循令人惊讶的规律模式。邓巴和他的合作伙伴发现,在层级结构的最底层,在任何时刻,与普通个体有着最紧密关系的人只有5个。这是与我们关系最亲密的人,也是我们最关心的人,他们通常是家人——父母、孩子或配偶,也可以是极其亲密的朋友或伙伴。
下一层级则包括通常被人们称为亲密朋友的人,人们享受和他们度过的有意义的时光,或许在有需要时会向他们寻求帮助,即便与他们不像与核心圈里的人那样亲密。这一层级通常包括大约15人。再往下一个层级则是或许被人们称作朋友的人,尽管人们很少会邀请他们共进晚餐,但是会邀请他们参加派对或聚会。这一层级或许是由同事、街角的邻居或不经常见面的亲戚组成,通常会有50人。
接下来的这个层级定义了你在个人互动领域的社会边界,通常是人们口中所称的“普通朋友”——仅仅知道他们的名字,并且与他们存在社会联系。这一群体大约由150人组成。这个数字通常被称作邓巴数字。
你可能会注意到,量化这些群体中连续层级的数字序列彼此按照近似的比值——3顺序相关,即5,15,50,150。这一规律是我们所熟悉的分形模式,不仅见于我们自身的循环和呼吸系统的网络层级中,而且见于城市的交通模式中。
邓巴猜测,这一显而易见的普遍性的源头是人类大脑认知结构的进化:我们不具备管理超出这一规模的社会关系的计算能力。
城市事实上是人类大脑结构按比例缩放后的表现。 这是一个相当疯狂的猜想,但它生动地具象化了“城市拥有共性”这一观点。简而言之,城市是人们之间互动的代表,它隐藏在我们的神经网络中,并因此也隐藏在我们大脑的结构和组织中。
词语与城市
齐普夫定律,它依据城市的人口规模对其进行排列并得出了规律。图7–13体现了这一点。

齐普夫定律认为,一座城市的等级数字与其人口规模成反比。因此,在城市体系中,规模最大的城市的规模应该是排名第二位的城市的两倍,是排名第三位的城市的三倍,是排名第四位的城市的四倍,以此类推。举例来说,在2010年的人口普查中,美国最大的城市是纽约,人口总量为8 491 079。根据齐普夫定律,第二大城市洛杉矶的人口规模应该为纽约的一半,即4 245 539人;第三大城市芝加哥的人口应该是纽约的1/3,即2 830 359人;第四大城市休斯敦的人口应该是纽约的1/4,即2 122 769人。而实际数字为:洛杉矶3 928 864人,芝加哥2 722 389人,休斯敦2 239 558人。根据齐普夫定律进行的预测,误差不超过7%。
所有词汇出现的频率与其在频率分布表中的排名是成反比的。因此,最常出现的词汇的出现频次是第二常出现词汇的两倍,是第三常出现词汇的三倍,以此类推,正如图7–14所呈现的那样。例如,针对英语文本的分析显示,最常出现的词汇是“the”,占所有使用的词汇数量的7%;排名第二位的词汇是“of”,占比为“the”的一半,即3.5%;排名第三的则是“and”,占比约为2.3%。
更加神奇的是,这一定律在大量例子中都适用,包括轮船、树木、沙粒、陨石、油田、互联网流量的文件大小等。图7–15表明公司规模的分布也遵循这一定律。
分形城市:社会与自然一体化
作为构成城市的两大主要因素,物理基础设施和社会经济活动都可以概念化为自相似分形网络结构。分形通常是进化过程的结果,在这一过程中,某些特点得到不断优化,如确保生物体中的所有细胞或城市中的所有人都能够得到能量和信息的供应、通过使运输时间最小化实现效率的最大化、用最小的能量在最短时间内完成任务等。不太明显的是社会网络中被优化的因素。例如,并没有令人信服的基于基础原理的解释,用来帮助人们理解邓巴发现的层级结构,或他的数字序列的来源。即使社会大脑的假设是正确的,也无法解释社会组织分形特点的由来或数字150源于何处。有迹象表明,这些普遍性特点来自此前提出的猜测,即利己主义(所有个体和公司都想要使自己的资产和收入最大化)和社会空间最大填充的概念是根本驱动力。
人们之间联系的增速要比人数的增速快得多,接近于人数平方的一半。 人们之间联系的最大数量与总人数之间的简单非线性二次平方关系带来了各种各样有趣的社会影响。
如果桌上坐着10个人,就会有45种类似的二元可能性,这会不可避免地导致群组的巴尔干化,会分裂为2个、3个或者更多的单独对话。当然,许多人更喜欢这种形式,但值得我们牢记的是,如果你想要达到某种群体亲密,超过6个人将会变得极具挑战性。
当这些对于移动性和城市居民之间的物理互动空间的限制被施加在社会网络的结构中之后,就会产生一个重要的、意义深远的结果:一座城市中平均每个居民与其他人的互动数量与随城市规模而变的基础设施建设规模呈反比关系。 换句话说,基础设施与能量利用的亚线性规模缩放的程度与普通个体社会互动超线性规模缩放的程度相当。由此一来,控制社会互动的指数,以及所有的社会经济指标——好的一面、坏的一面、丑陋的一面与城市规模之间的比例缩放关系遵循15%法则——均大于1(1.15),正如控制基础设施和能量以及资源流动的指数均小于1(0.85),数据表明了这一点。图7–2~图7–6中所有斜线的斜率均超过1,其程度等同于图7–1中斜线的斜率小于1的程度。
按照相同的15%法则,城市越大,每个人的收入、创造、创新和互动越多,每个人所经历的犯罪、疾病、娱乐和机遇也越多,而所有这一切都要求每个人使用的基础设施和能量却越少。
通勤时间和城市规模
利用来自美国、英国、德国以及一些发展中国家的城市数据,扎哈维发现了一项惊人的结论:无论城市规模大小,或者采用何种出行方式,一个人每天平均花费在交通上的总时间大致相同。 很明显,无论是谁,无论在哪儿,人们通常每天花费一小时的通勤时间。粗略地讲,无论在哪座城市,无论交通方式如何,人们每天从家到工作地点的通勤时间大约为半小时。
每日通勤时间的恒定性,并提出,真正的恒定量是每日出行的总时长,他称之为“曝光时间”。 因此,即使一个人的每日通勤时间不足一小时,他(或她)会本能地通过步行或慢跑等其他运动来弥补上。马尔凯蒂解释道:“即便是被判处终身监禁的监狱囚犯,没有事情可做,也没有地方可去,他也要每天走上一个小时。
由于步行速度约为每小时5千米,一座“步行城市”的典型范围为长和宽各5千米,相当于大约20平方千米的面积。马尔凯蒂说:“古代大型城市没有城墙,无论是罗马还是波斯波利斯,他们的直径都不超过5千米,或者说半径不超过2.5千米。甚至今天的威尼斯,依然是一座步行城市,相互连接的中心之间的最大距离恰好为5千米。” 随着马车、公交车、蒸汽和电动火车以及汽车的最终出现,城市的规模得以扩大,但马尔凯蒂认为,人们的出行依然要受到一小时规则的限制。 由于汽车时速能达到每小时40千米,城市(更广泛地说是都市圈)的长和宽可以扩展到40千米,这通常是多数大城市的服务区,相当于12公顷的面积,比一座步行城市要大50倍。
这一令人惊讶的结论被称作“马尔凯蒂定律”(Marchetti’s constant),即使它最初是由扎哈维发现的。无论生活在古罗马、中世纪城镇、希腊村庄还是21世纪的纽约,人们每天花费在交通上的时间为近似一小时恒定值。
步行节奏的加快
数据证实步行速度的确会随着城市规模的扩大而加快,并且遵从一个相似的幂律,尽管其指数要小于0.15,而是近似于0.10(见图8–1)。鉴于该模型的简单性,这丝毫不令人吃惊,社会互动只是这一奇怪效应的部分原因。值得注意的是,数据显示,与只有数千居民的小镇相比,人口超过100万的城市居民的平均步行速度增长了近一倍,为每小时6.5千米。这一速度已达到饱和值,并且人们的步行速度在更大规模的城市中不会再大幅加快了,因为人们步行的速度存在着生理限制。

城市中的社会连通性
城市规模每增长一倍,工资、专利数量、犯罪率和患病率等社会经济活动指标就会呈现15%的系统性增长,人与人之间的互动次数也应该呈现15%的增长。
与大多数指标所通常遵从的幂律相比,对数缩放变化表现出了相对于人口规模来说非常缓慢的增长。例如,人口规模从10万增至1 000万,会导致企业数量增长100倍,但企业的多样性只会增长两倍。换句话说,城市规模增长一倍,企业总量增长一倍,但新型企业的数量只会增长5%。几乎所有多样性的增长都反映在更大程度上的专业性和更多人之间的相互依赖性上,这既包括工人,也包括客户。这是一个重要的观察结论,因为它表明:增加多样性与增加特殊性紧密相连,这是根据15%法则提高生产率的主要驱动力。
与规模法则所表现出来的城市内在普遍特性相比,这些企业类型的位序——规模分布则反映了每一个特定城市的独特之处,这表现为其经济活动的构成。它们是每一座城市的标志,显然取决于城市的历史、地理和文化。因此,尽管每一座城市的企业类别构成都不同,但对于所有城市而言,它们分布的形状和形式在数学意义上是相同的。

图8–12中分布函数的蛇形形状源于一个通用动力学过程的变体,这一机制曾被成功地用于理解不同领域(从词语到基因,再到物种和城市)的位序——规模分布。它有许多不同的名称,包括偏好依附(preferential attachment)、累积优势、富人更富、尤尔–西蒙过程(Yule-Simon process)。它基于一种正反馈机制,在这种机制中,系统的新要素(在上述情况中是企业类型)会被逐个添加进来,其概率与已经存在要素的比例相关。存在的要素越多,新增要素也越多。因此,企业类型越常见,该类型的企业数量增加得就越多;企业类型越少见,增加的数量就越少。
一些常见的例子可以来说明这个过程。成功的企业和大学会吸引聪明的人加入,这会使它们变得更加成功,并由此吸引更聪明的人才,进而使得它们更加成功。就像是富有的人会吸引有利的投资机会,产生更多的财富,他们进一步投资,则会变得更加富有一样。“富人更富”以及它所暗含的“穷人更穷”这种流行语便能够说明这一过程。或者,正如耶稣在《马太福音》中所说: 凡有的,还要加给他,叫他有余。凡没有的,连他所有的,也要夺去。
这句令人惊讶的话被一些信奉正统派基督教的人以及其他人用来证明不断蔓延的资本主义的正当性,这是一种“反罗宾汉式”的口号,支持劫贫济富的观点。然而,尽管耶稣的话是偏好依附的良好例证,但这句话被断章取义了。人们通常容易忘记,耶稣实际上所指的是天国的神秘知识,而不是指物质财富。他是在表达宗教版本的勤奋学习、知识积累、研究和教育的实质,古代的犹太教祭司也曾表达过类似的观点:知识不增则减。
城市的增长与新陈代谢 作为增长基础的社会新陈代谢的所有社会经济来源,包括财富创造和创新,都按照经典的超线性规模法则,其指数近似为1.15。由于所有的组成部分都按照这个幂律规模法则变化,一座城市的总体社会代谢率也必须呈类似的超线性比例变化,其指数也是1.15。
当我们通过比例视角去观察时,很难不为公司与生物体在增长和死亡上的相似性以及二者与城市的不同而感到吃惊。公司存在出人意料的生物性,从进化的角度来说,它们的死亡是产生创新活力的重要组成部分,而这个过程来自“创造性破坏”和“适者生存”。正如所有生物体必须死亡以使新生物绽放一样,所有的公司都必须消亡或改变,以使新的创新变种能够繁荣发展。与拥有发展缓慢的“老年”IBM或通用汽车相比,拥有谷歌或特斯拉带来的兴奋和创新更好,这是自由市场系统的基础文化。
与这其中的大多数相比,这些特殊公司得以幸存并非是因为多样化或创新,而是因为持续为小众、专注的客户群生产被认为是高质量的产品。许多公司都是凭借声誉和连贯性得以长期存活了那么长时间,而且几乎没有什么增长。有趣的是,这些公司中有许多都是日本公司。韩国银行的数据显示,2008年,在5 586家拥有200年以上历史的公司中,有超过一半(3 146家)都是日本公司,837家是德国公司,222家是荷兰公司,196家是法国公司。此外,这些公司中有90%都超过了100年历史,而且雇员人数不超过300人。
为何公司会衰亡,而城市则不会? 公司呈亚线性比例变化,而不像城市那样呈超线性比例变化的事实表明,它们是规模经济而非创新和创意胜出的具体体现。公司通常是高度受限的自上而下的组织,努力提高生产效率,降低运营成本,以实现利润最大化。与之相比,城市则是创新而非规模经济霸权胜出的代表。当然,城市并非受谋利动机的驱动,能够通过收税来平衡账目。城市更像是分散式的,权力分散于各个不同的组织结构之间,从市场到议会,再到企业和公民行动集团,任何一个机构都没有绝对的控制权。就这一点而言,与公司相比,城市流露出了一种自由主义、随心所欲的氛围,利用了社会互动所产生的创新的益处,无论这种互动是好的、坏的,还是丑陋的。尽管存在笨拙的低效率,与公司相比,城市是实施行动的地方,是改变的动因。总体来说,公司通常表现出停滞的景象,除非它们仍处于年轻阶段。