连分数、计算圆周率π
连分数、计算圆周率π [分类]: ( 科普 ) 分割圆问题 连分数 埃及分数 连分数 连分数 根号2 与 黄金比例数Fi 连分数的特点与对PI的表示 计算圆周率π 碰撞求PI 碰撞公式 单摆周期公式 蒙特卡罗方法 计算圆周率π 布丰的针 布丰的面条
连分数、计算圆周率π
分割圆问题

连分数
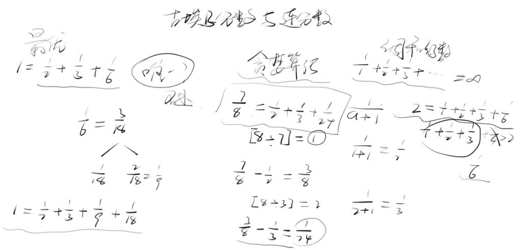
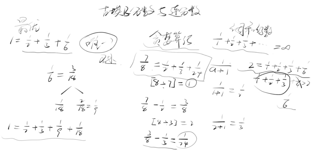
埃及分数

连分数
连分数 - 根号2 与 黄金比例数Fi
连分数的特点与对PI的表示
计算圆周率π
碰撞求PI - 碰撞公式
单摆周期公式
蒙特卡罗方法 - 计算圆周率π
布丰的针
布丰的面条