素数、自然常数e、斐波那契数列、黄金比例
素数、自然常数e、斐波那契数列、黄金比例 [分类]: ( 科普 ) 素数 素数探索历史:高斯素数定理 与 对数积分函数 自然常数e 自然常数e 自然常数 e进制效率最高 斐波那契数列 斐波那契数列与自然 斐波那契螺旋线 交点螺旋线定则 黄金分割 黄金比例与白银比例 塑胶数 e (数学常数) ) 圆周
素数、自然常数e、斐波那契数列、黄金比例
素数
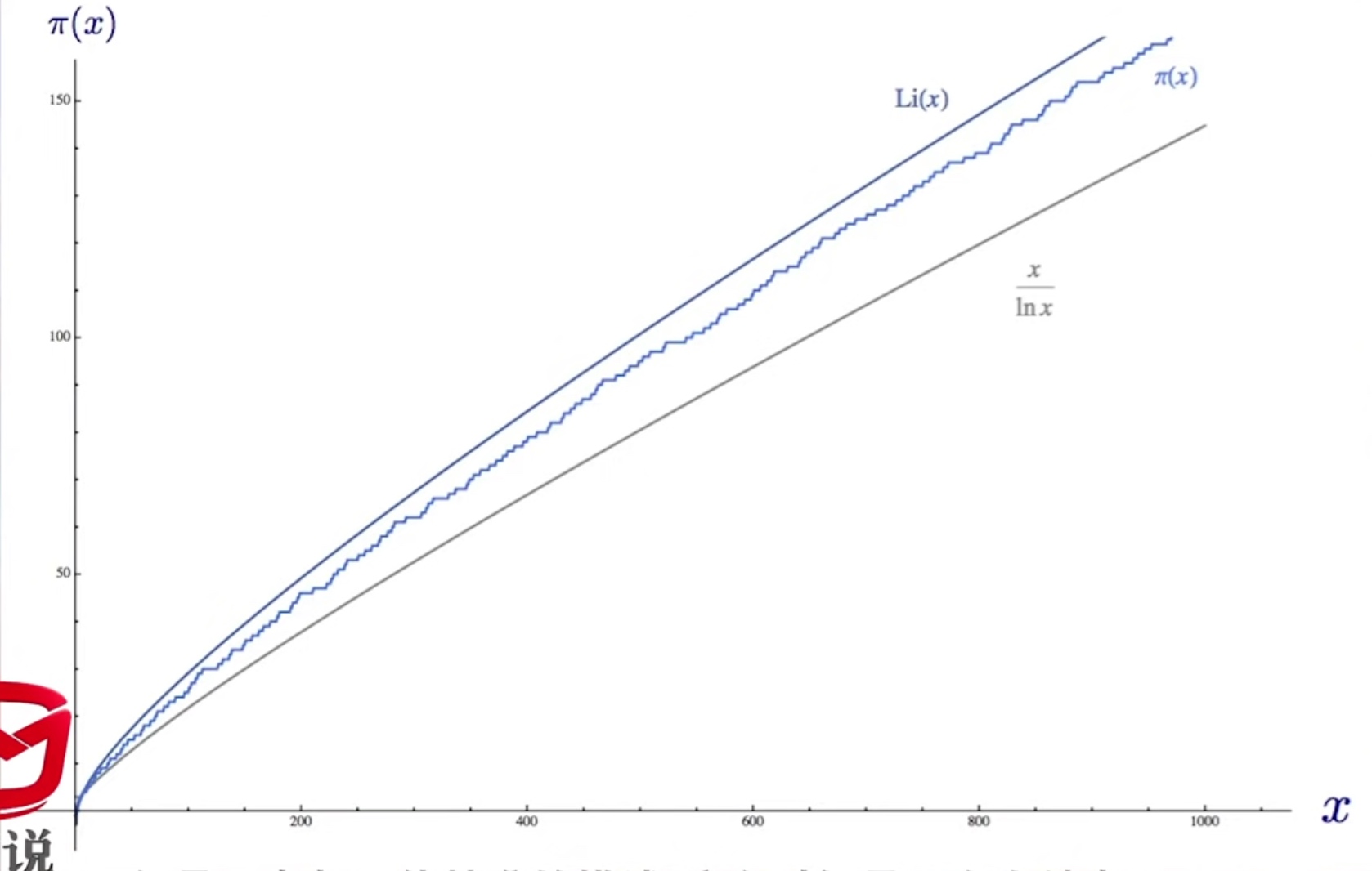
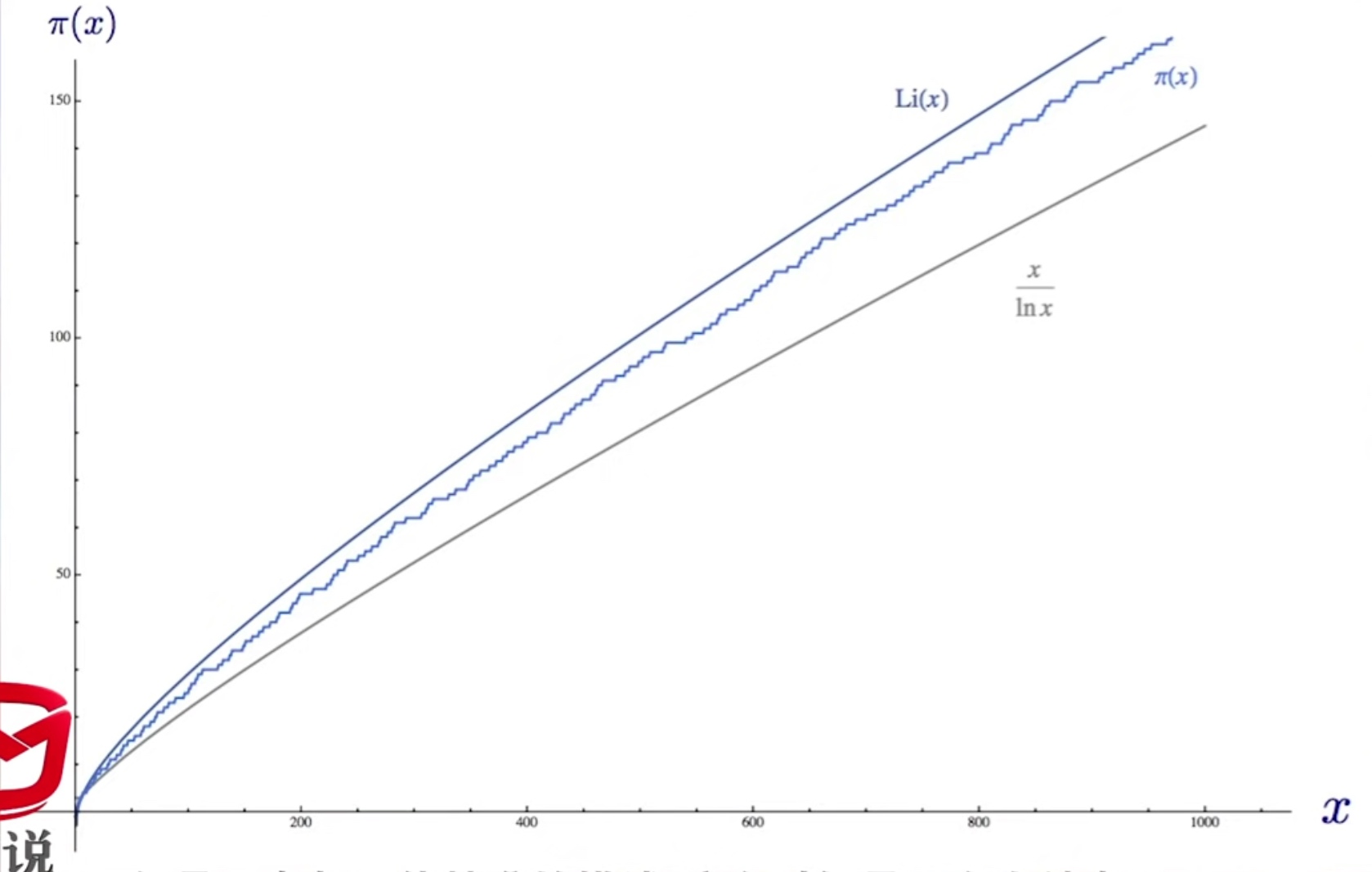
素数探索历史:高斯素数定理 与 对数积分函数
自然常数e
自然常数e
自然常数 - e进制效率最高
斐波那契数列
斐波那契数列与自然
斐波那契螺旋线
交点螺旋线定则
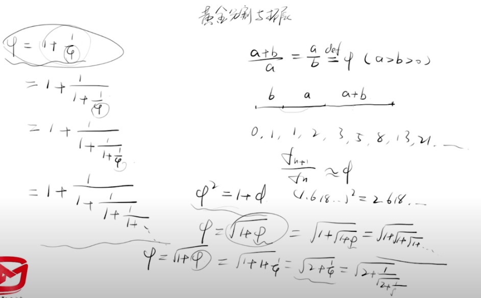
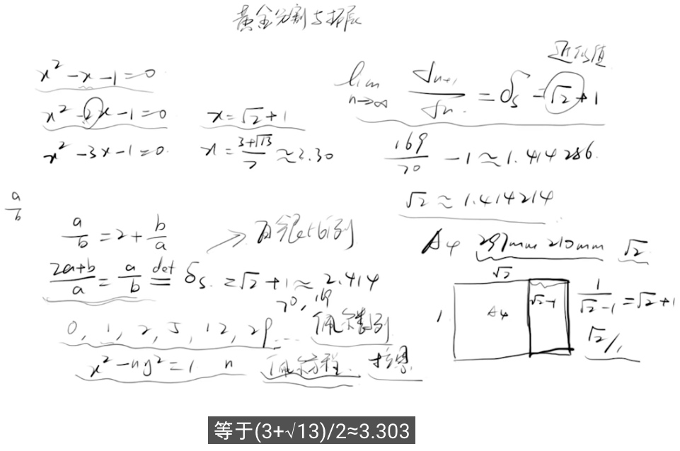
黄金分割
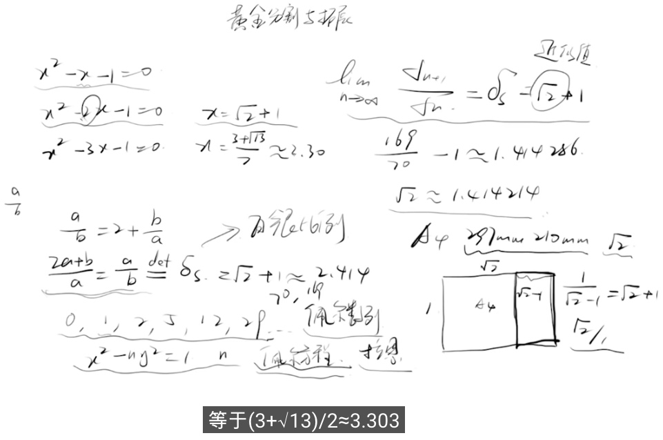
黄金比例与白银比例
塑胶数
e (数学常数)
Wiki: e (数学常数)
圆周率PI
圆周率PI
黄金比例 黄金比例