宇宙射线
宇宙射线 [分类]: ( 科普 ) 光波频 宇宙射线的能量跨度 宇宙射线谱 高能宇宙线 宇宙射线 自旋能级 验电器 宇宙线 赫斯射线 电磁波波谱
宇宙射线
光波频
宇宙射线的能量跨度
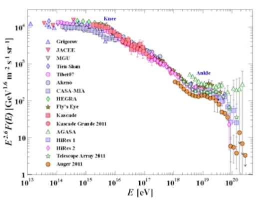
宇宙射线谱
高能宇宙线
宇宙射线
自旋能级
验电器
宇宙线 - 赫斯射线
电磁波波谱
宇宙射线 [分类]: ( 科普 ) 光波频 宇宙射线的能量跨度 宇宙射线谱 高能宇宙线 宇宙射线 自旋能级 验电器 宇宙线 赫斯射线 电磁波波谱
光波频
宇宙射线的能量跨度
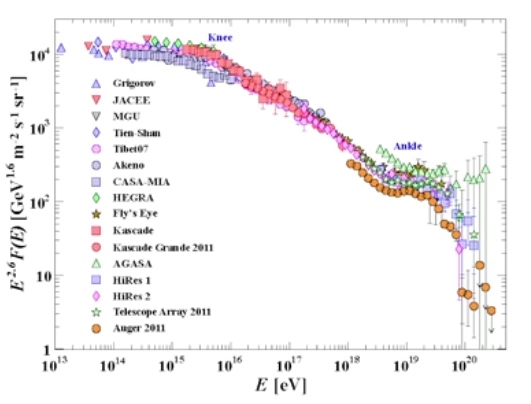
宇宙射线谱
高能宇宙线
宇宙射线
自旋能级
验电器
宇宙线 - 赫斯射线
电磁波波谱