基本物理量
基本物理量 [分类]: ( 科普 ) 物理常量 主要基本的物理常量 七个“基本物理量” 七个基本物理量常数 量纲分析 精细结构常数 物质的量 1摩尔就表示一种化学物质它所含的基本微粒个数要等于12g碳 12所包含的原子个数。即一摩尔为:拥有与 12 公克的碳 12(碳元素中相对原子质量为 12 的原
基本物理量
物理常量
主要基本的物理常量
七个“基本物理量”
七个基本物理量常数
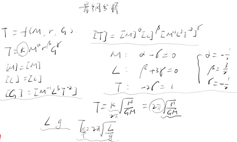
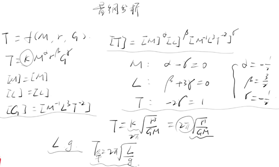
量纲分析

精细结构常数
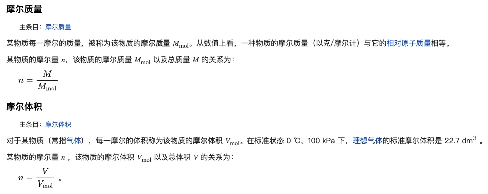
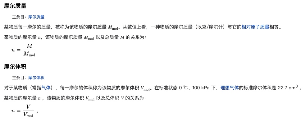
物质的量
1摩尔就表示一种化学物质它所含的基本微粒个数要等于12g碳-12所包含的原子个数。即一摩尔为:拥有与 12 公克的碳-12(碳元素中相对原子质量为 12 的原子)所含原子数量相同的基本微粒的系统,其物质的量为 1 摩尔。
时间单位
“秒"的定义
原子钟 - 铯频率
基本的时间单位
古代时间单位
原子钟的定义 - 铯原子喷泉
其他单位
基布尔秤
电磁波谱 & 光谱
安培的定义