π无穷级数算法
π无穷级数算法 [分类]: ( 科普 ) 韦达公式(π无穷项公式) 巴塞尔问题 欧拉解决 PI的莱不尼茨公式 & 梅钦公式 梅钦类公式 & 斯特林级数 拉马努金公式 & 梵德诺夫斯其算法 牟合方盖 刘徽割圆术 超越数 pi、e 超越数: 正规数: 析取数: 核磁共振 右手螺旋定则 地球的内部构造
π无穷级数算法
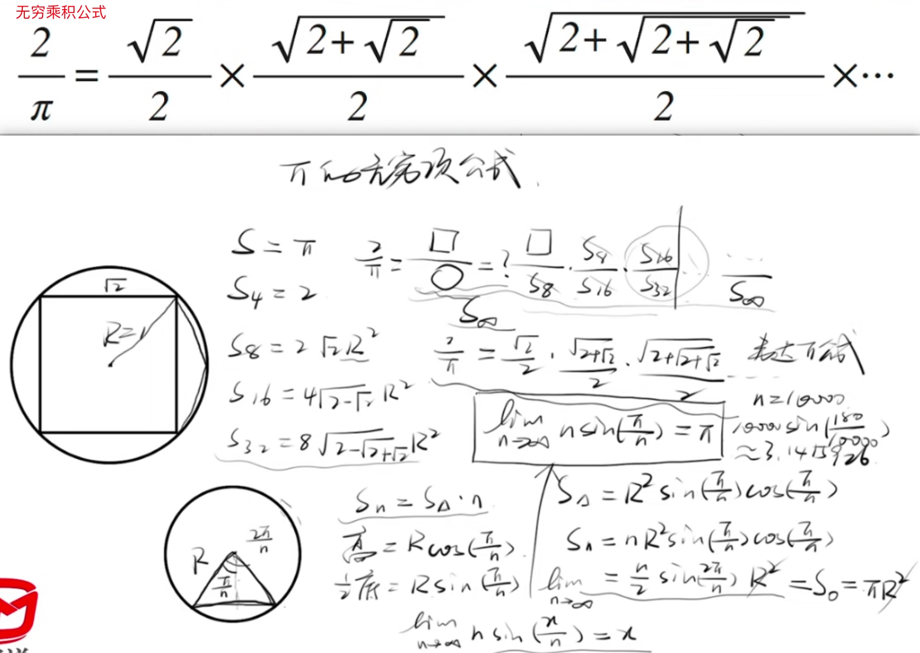
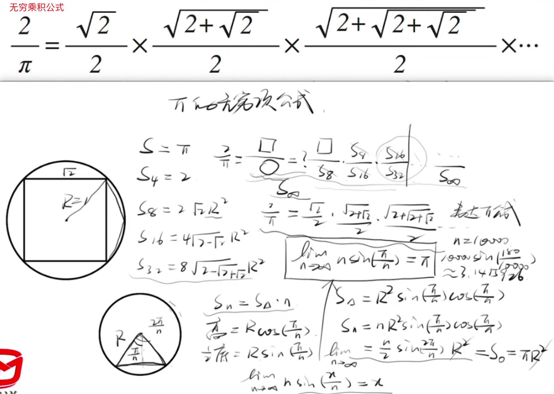
韦达公式(π无穷项公式)
巴塞尔问题 - 欧拉解决
PI的莱不尼茨公式 & 梅钦公式
梅钦类公式 & 斯特林级数
拉马努金公式 & 梵德诺夫斯其算法
牟合方盖内切球体与牟合方盖的体积之比才应该是PI/4
刘徽割圆术
超越数 - pi、e
超越数: 不能是任何一个有理系数代数方程根的无理数
正规数: 数字显示出随机分布,且每个数字出现机会均等的实数
析取数: 包含所有数字组合的数
核磁共振
右手螺旋定则
地球的内部构造