伽罗瓦理论
伽罗瓦理论 [分类]: ( 科普 ) 二次方程求根公式 三次方程求根公式 二次 三次 四次 四次a 四次b 根式可解的定义 群 群 对称性 对称群 15拼图 最快恢复成全顺序列 群论中的拉格朗日定理 置换 轮换 对换 奇置换 偶置换 正规子群:满足左右陪集相等的子群 商群 不是由一个个元素构成的了,
伽罗瓦理论
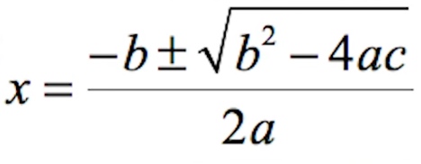
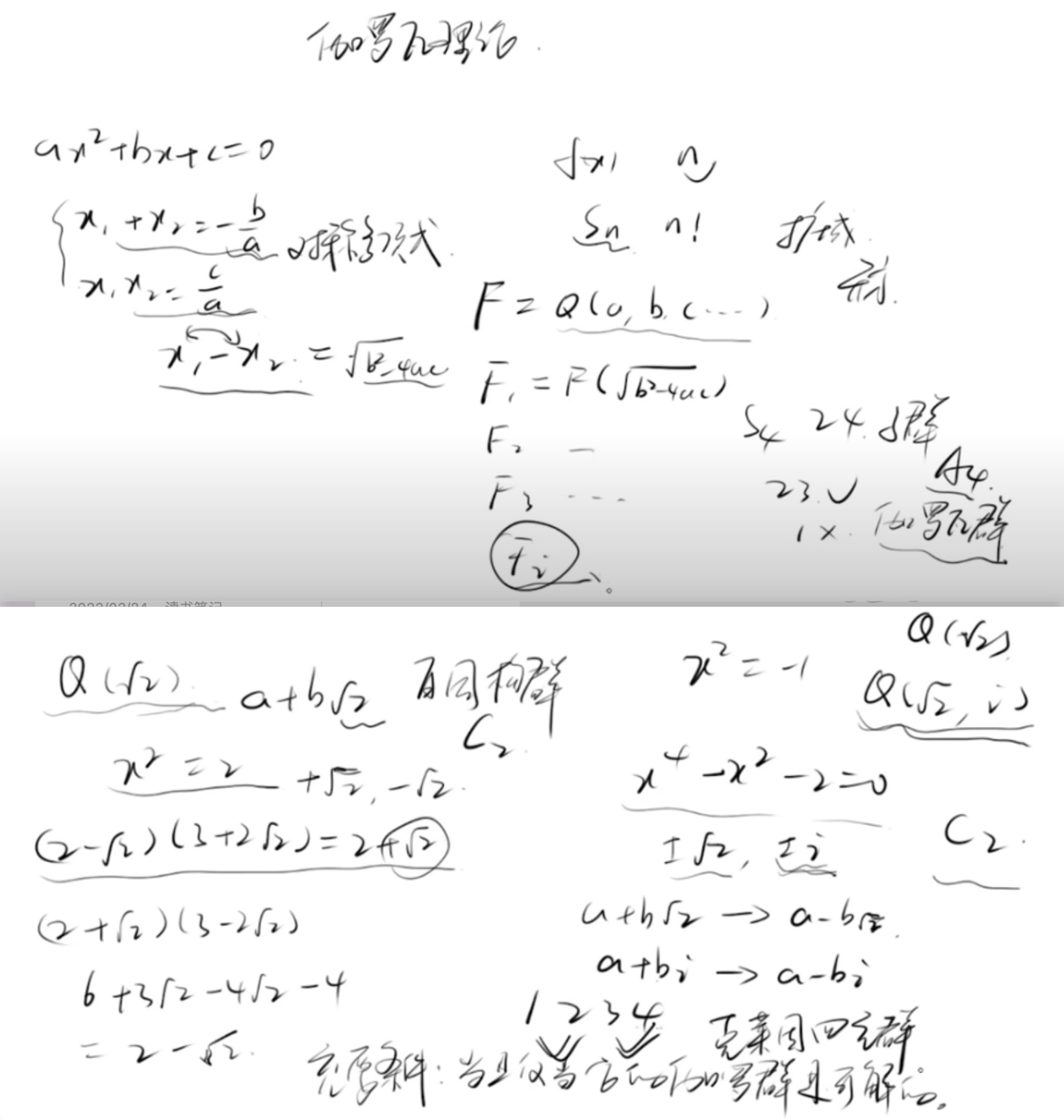
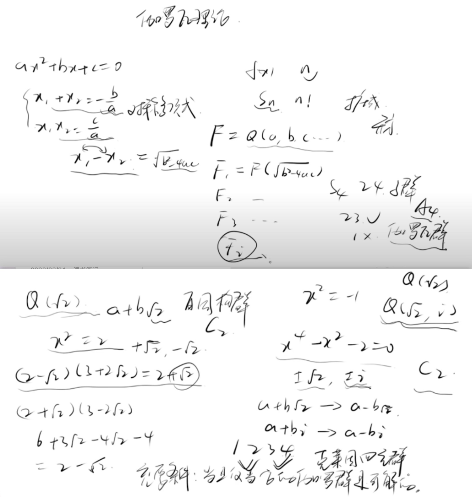
二次方程求根公式
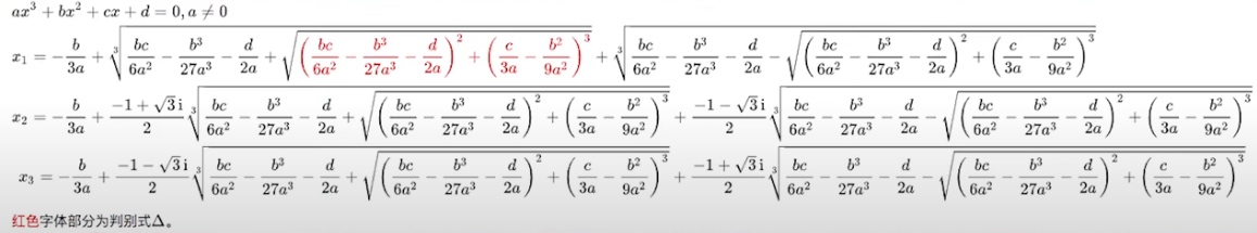
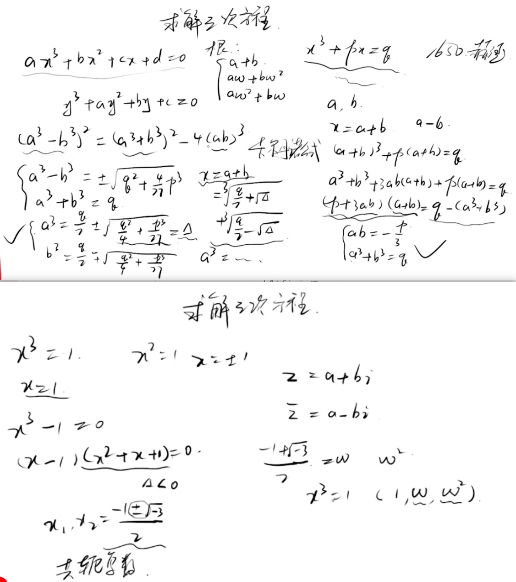
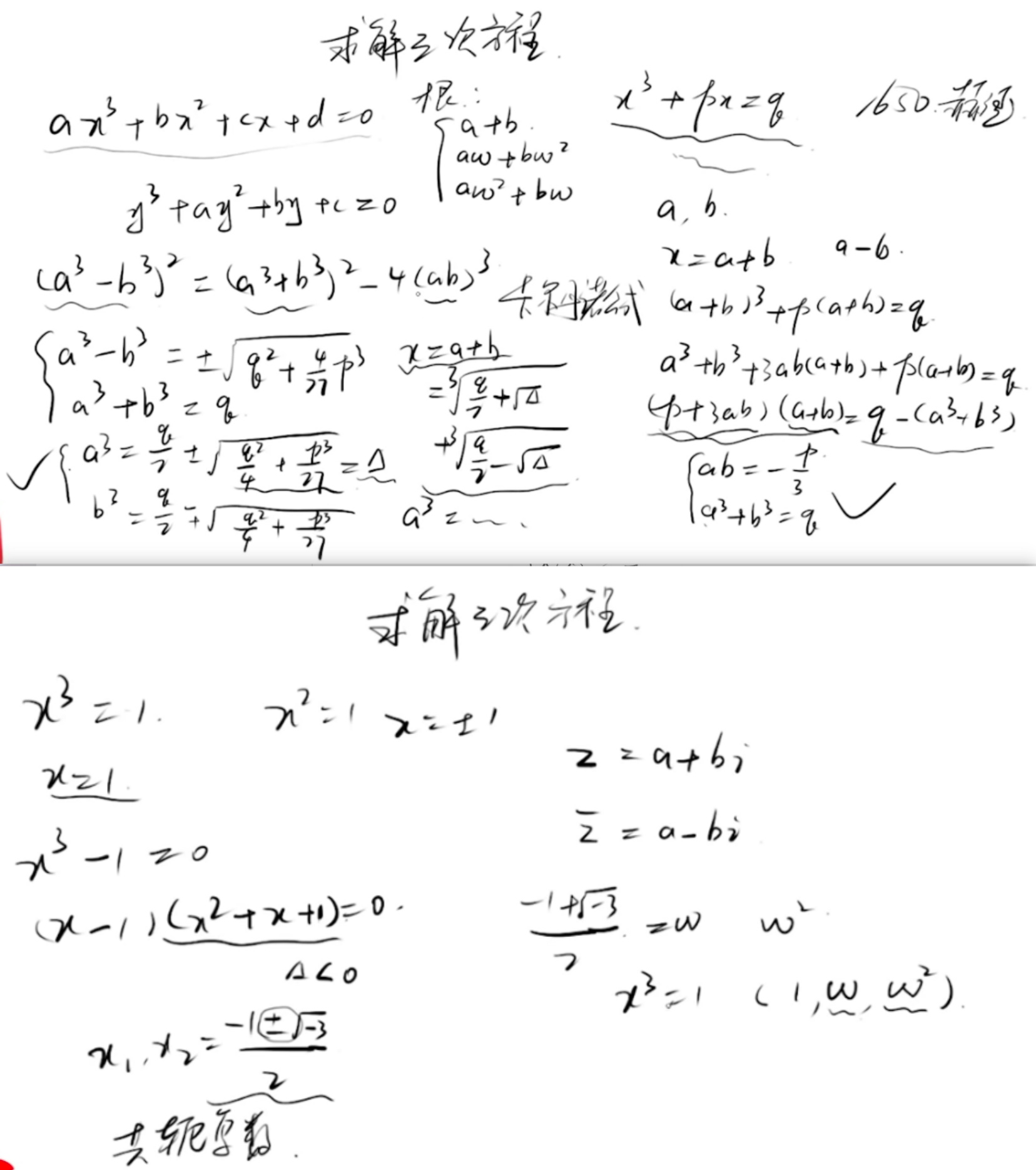
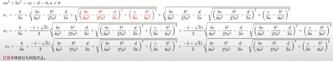
三次方程求根公式
二次
三次
四次
四次a
四次b
根式可解的定义

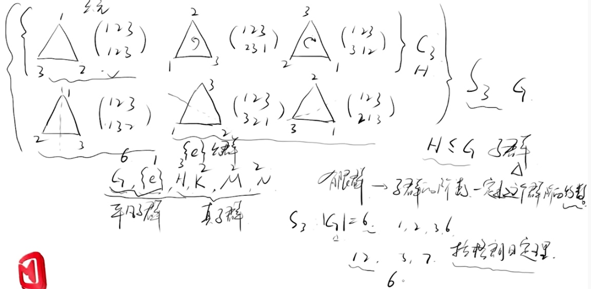
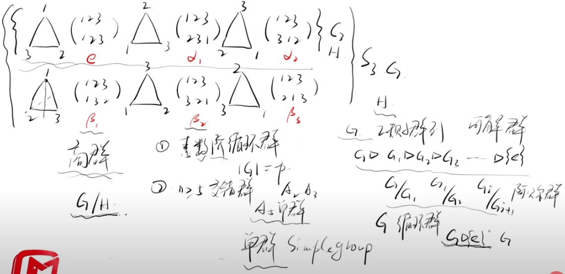
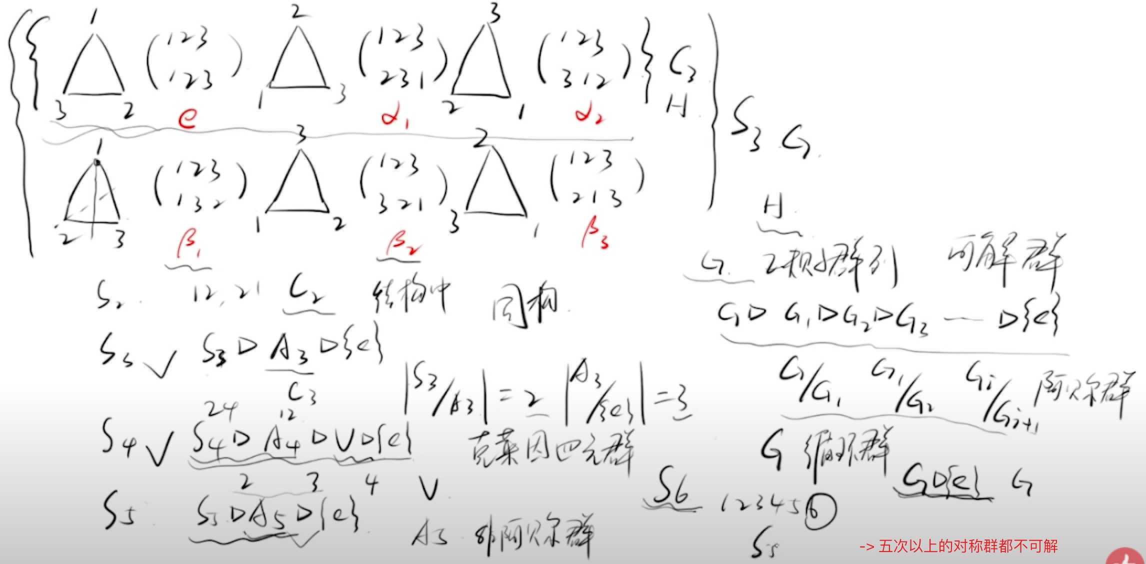
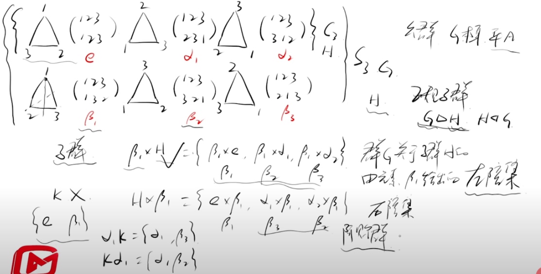
群
群 - 对称性

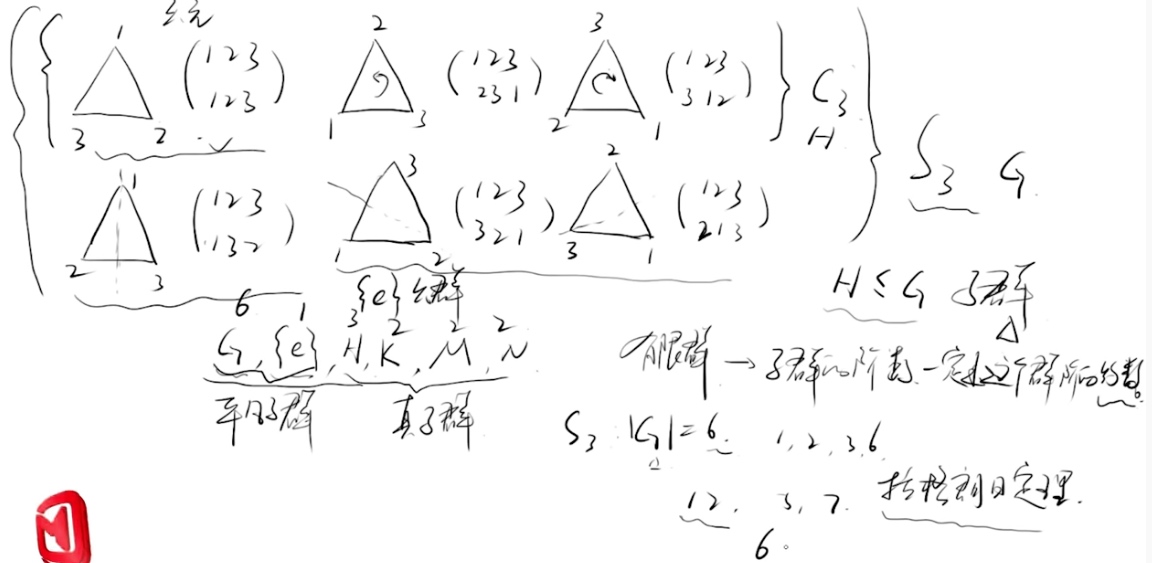
对称群

15拼图 - 最快恢复成全顺序列
群论中的拉格朗日定理
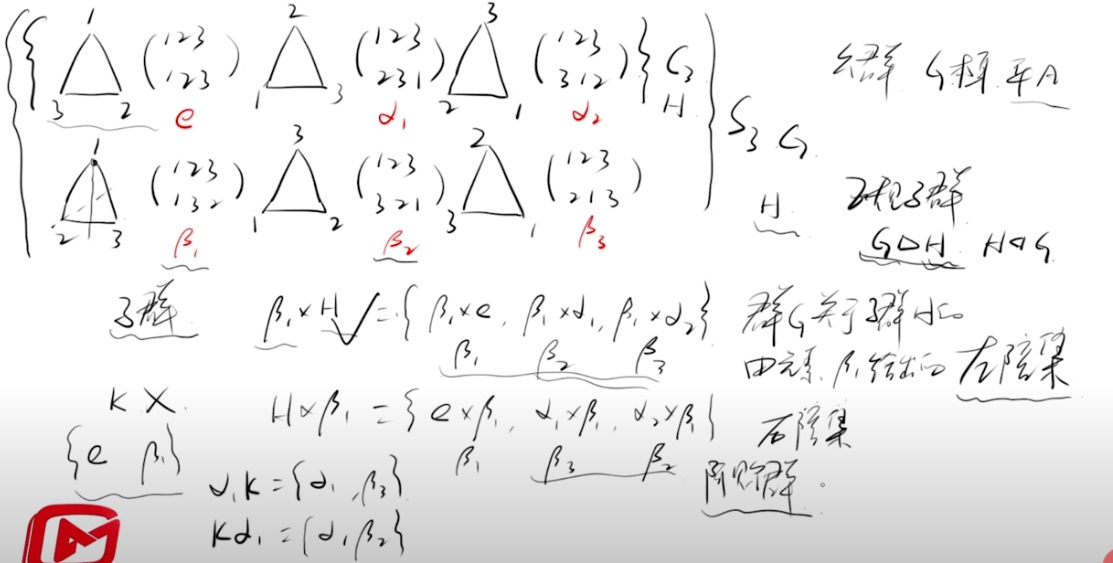
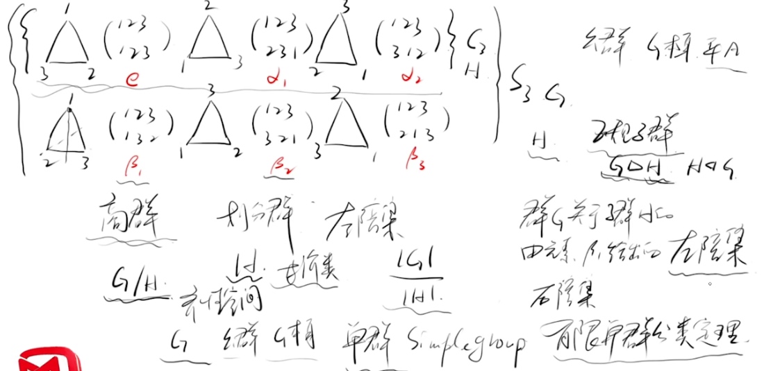
置换 - 轮换 - 对换 - 奇置换 - 偶置换
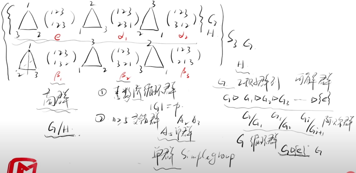
正规子群:满足左右陪集相等的子群
商群不是由一个个元素构成的了,而是由若干个子群H和其等价类集合构成的群。
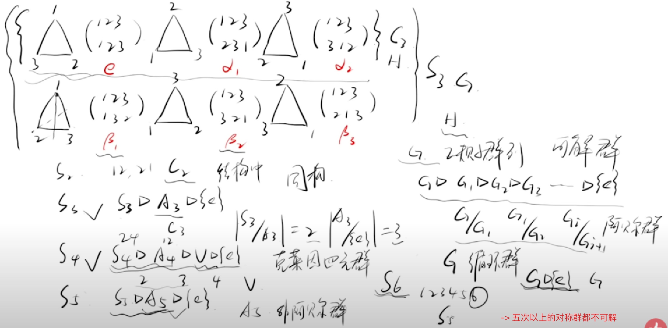
单群与可解群
单群:如果一个有限群G,除了幺群与G本身之外,没有任何的正规子群了,就称这个群为单群。

所有的阿贝尔群一定是可解群,素数阶的群必是阿贝尔群。
**交错群:**是指一个群内所有偶置换构成的群。

伽罗瓦理论
