粒子
粒子 [分类]: ( 科普 ) 阴极射线管 正电子 费米子 费米子是用来组成物质的粒子, 玻色子 是用来传递作用力的粒子。 粒子物理标准模型 夸克模型 轻子 不可再分 强子 由夸克组成的,不是基本粒子 八重态、十重态 粒子物理标准模型
粒子

阴极射线管


正电子
费米子
费米子是用来组成物质的粒子,玻色子是用来传递作用力的粒子。


粒子物理标准模型

夸克模型
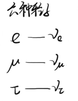
轻子 - 不可再分
强子 - 由夸克组成的,不是基本粒子

八重态、十重态


粒子物理标准模型
粒子 [分类]: ( 科普 ) 阴极射线管 正电子 费米子 费米子是用来组成物质的粒子, 玻色子 是用来传递作用力的粒子。 粒子物理标准模型 夸克模型 轻子 不可再分 强子 由夸克组成的,不是基本粒子 八重态、十重态 粒子物理标准模型

阴极射线管


正电子
费米子
费米子是用来组成物质的粒子,玻色子是用来传递作用力的粒子。


粒子物理标准模型

夸克模型
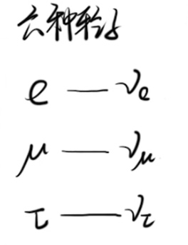
轻子 - 不可再分
强子 - 由夸克组成的,不是基本粒子

八重态、十重态


粒子物理标准模型