量子知识
量子知识 [分类]: ( 科普 ) 太阳光谱 氢原子光谱 光电效应 可见光 黑体辐射频谱 黑体相关理论 普朗克常数 能量子 量子 光量子 玻尔原子模型 电子的自旋 不确定原理 矩阵力学 海森堡,玻恩,约尔丹 电子驻波 粒子竟是一个波 波动力学 波动方程 薛定谔方程 波函数的物理意义与海森堡的不确定性
量子知识
**太阳光谱 **

氢原子光谱
光电效应
可见光
黑体辐射频谱
黑体相关理论
普朗克常数

能量子 -> 量子 -> 光量子

玻尔原子模型
电子的自旋 - 不确定原理
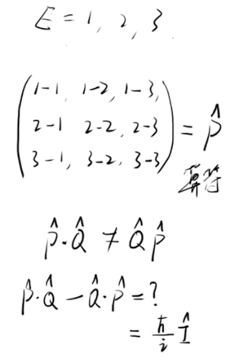
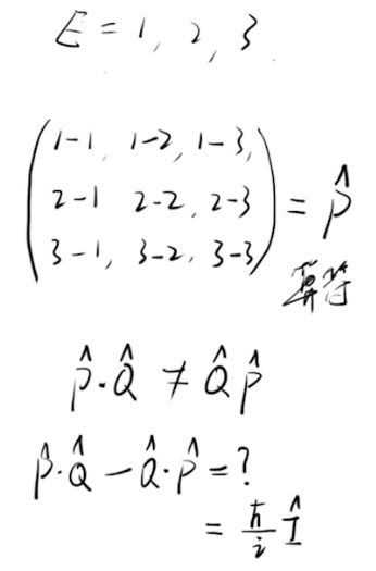
矩阵力学 - 海森堡,玻恩,约尔丹
电子驻波 - 粒子竟是一个波
波动力学 - 波动方程 - 薛定谔方程
波函数的物理意义与海森堡的不确定性原理

第五届索尔维会议
贝尔不等式