组合数学-容斥原理与鸽笼原理
常用公式 <hr/ 容斥原理 <hr/ 容斥原理应用 错排问题 <hr/ 有限制的排列 & 相对禁位排列 <hr/ 欧拉函数 <hr/ 棋盘多项式 <hr/ 禁位排列 <hr/ 鸽笼原理 <hr/
常用公式

容斥原理








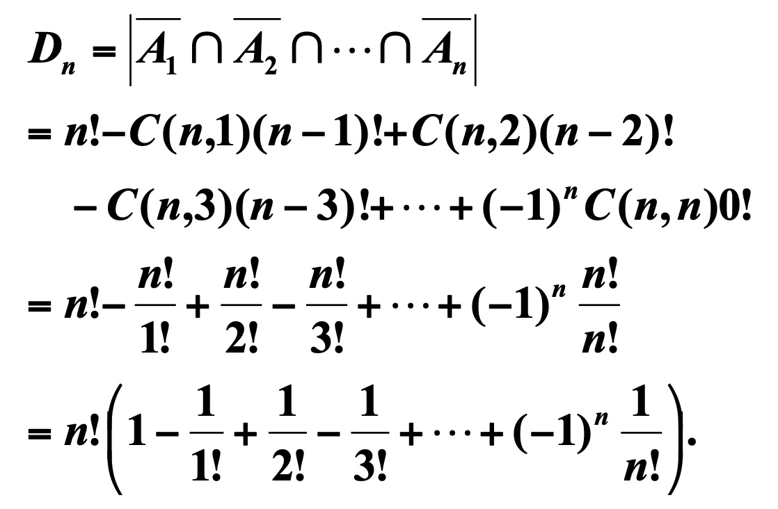
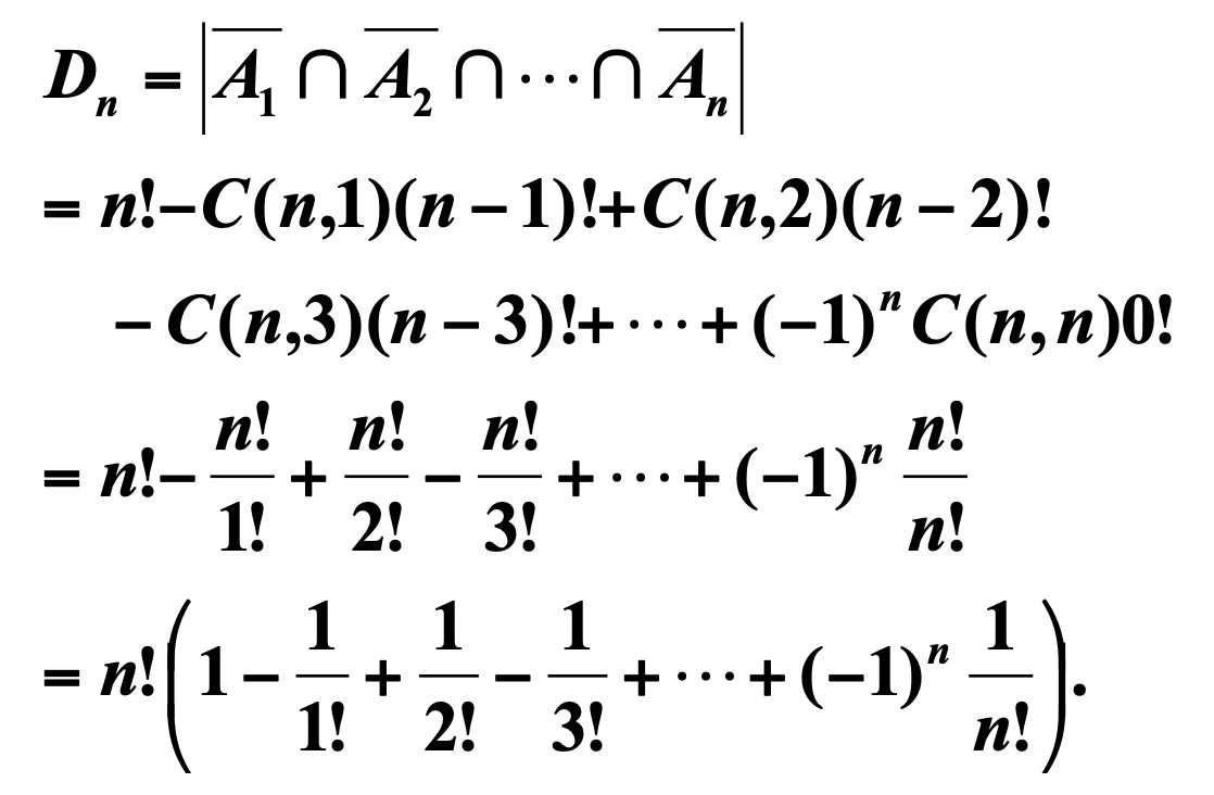
容斥原理应用 - 错排问题






有限制的排列 & 相对禁位排列







欧拉函数


棋盘多项式
















禁位排列









鸽笼原理












常用公式 <hr/ 容斥原理 <hr/ 容斥原理应用 错排问题 <hr/ 有限制的排列 & 相对禁位排列 <hr/ 欧拉函数 <hr/ 棋盘多项式 <hr/ 禁位排列 <hr/ 鸽笼原理 <hr/




























































