组合数学-常系数递推关系
母函数解递推关系(递推方程) 要点总结 1. 我们有一个序列,要求它的通项公式。我就把它设一个辅助函数叫母函数,我只要把母函数找出来把它分解开,x的n次方的系数,就是我要求的那个序列H(n)的通项表达式了。 2. 求母函数两种可能性: 第一个:这个母函数根据实际意义可以写出来。比如之前例子中的摇骰子
母函数解递推关系(递推方程) - 要点总结
- 我们有一个序列,要求它的通项公式。我就把它设一个辅助函数叫母函数,我只要把母函数找出来把它分解开,x的n次方的系数,就是我要求的那个序列H(n)的通项表达式了。
- 求母函数两种可能性:
第一个:这个母函数根据实际意义可以写出来。比如之前例子中的摇骰子,或者那种r个球放入n个不同盒子里,那可以根据实际意义直接写出来的,然后你把它展开;
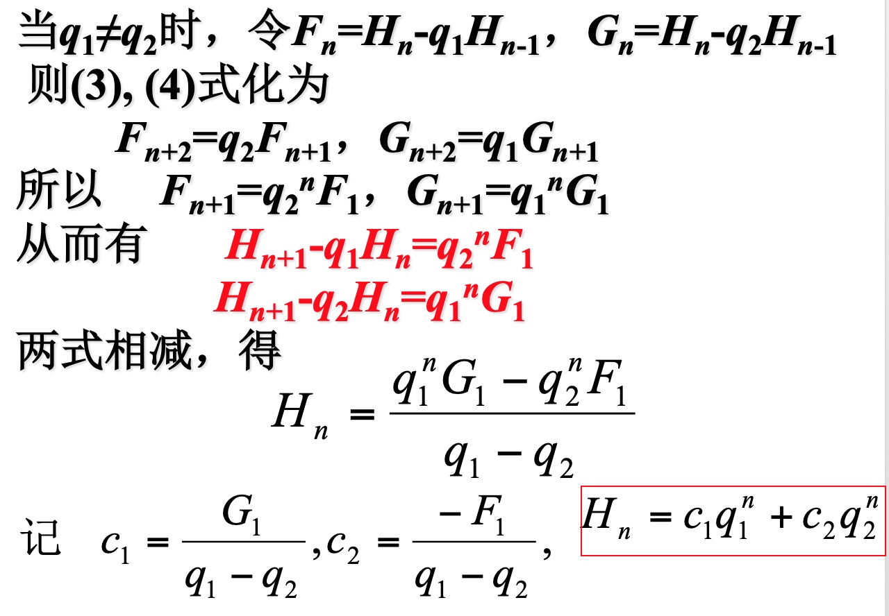
第二种是有递推关系的。可用迭代的方法解决,但这个方法很麻烦,有个更简单的办法就是把递推化成特征方程,求特征根,有了特征根之后解出递推关系的一般解,然后把它的系数根据初始条件求出来,得到一般通项式。
根据递归关系得到特征方程


















使用递推方程求解Fibonaccio数列的通项公式







特征根有重根的情况


仅有两个有复特征根









常系数线性非齐次递归关系








