组合数学-递推关系与母函数
常用公式 <! 图片已注释:原文件 images/math/recursion/formula02.jpg 缺失,未迁移 <hr/ 递推关系 Hanoi塔 <hr/ <hr/ <hr/ <hr/ <hr/ <hr/ <hr/ <hr/ <hr/ <hr/ <hr/ <hr/ Fibonacci塔 <
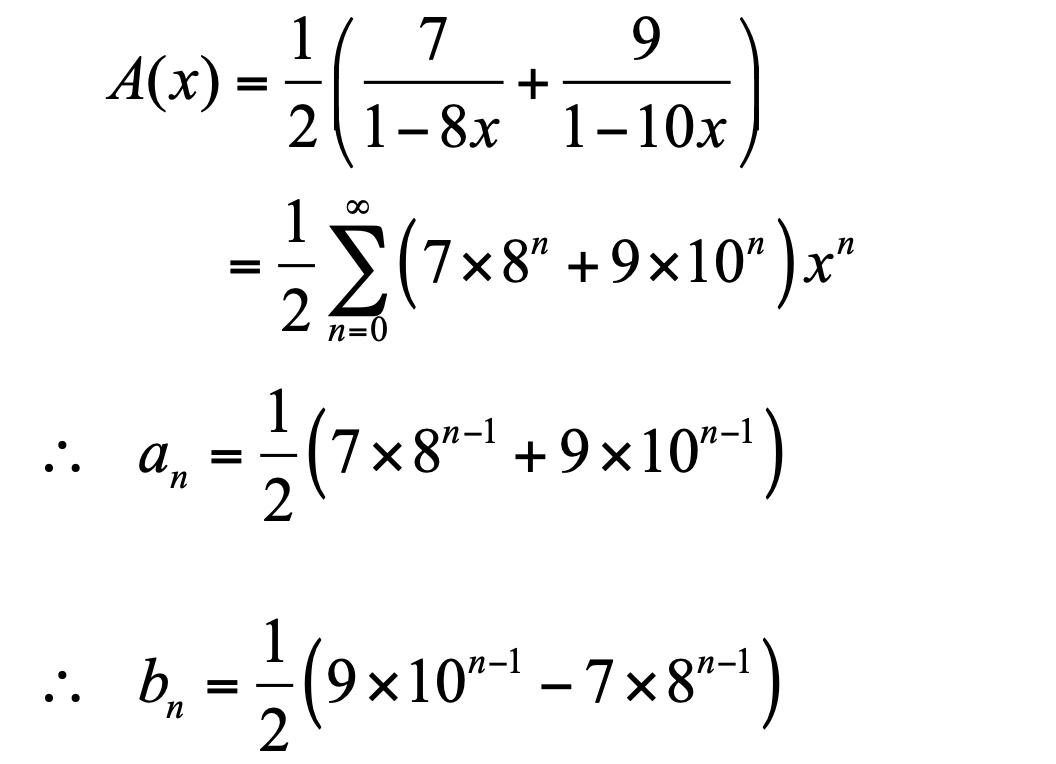
常用公式

递推关系
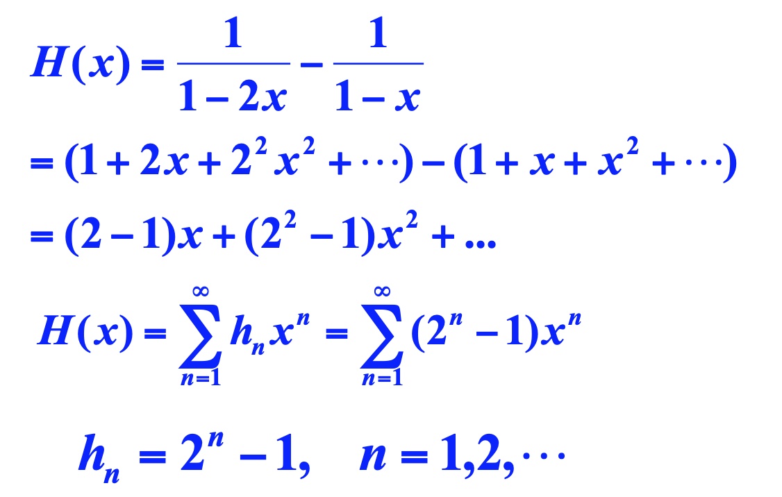
Hanoi塔











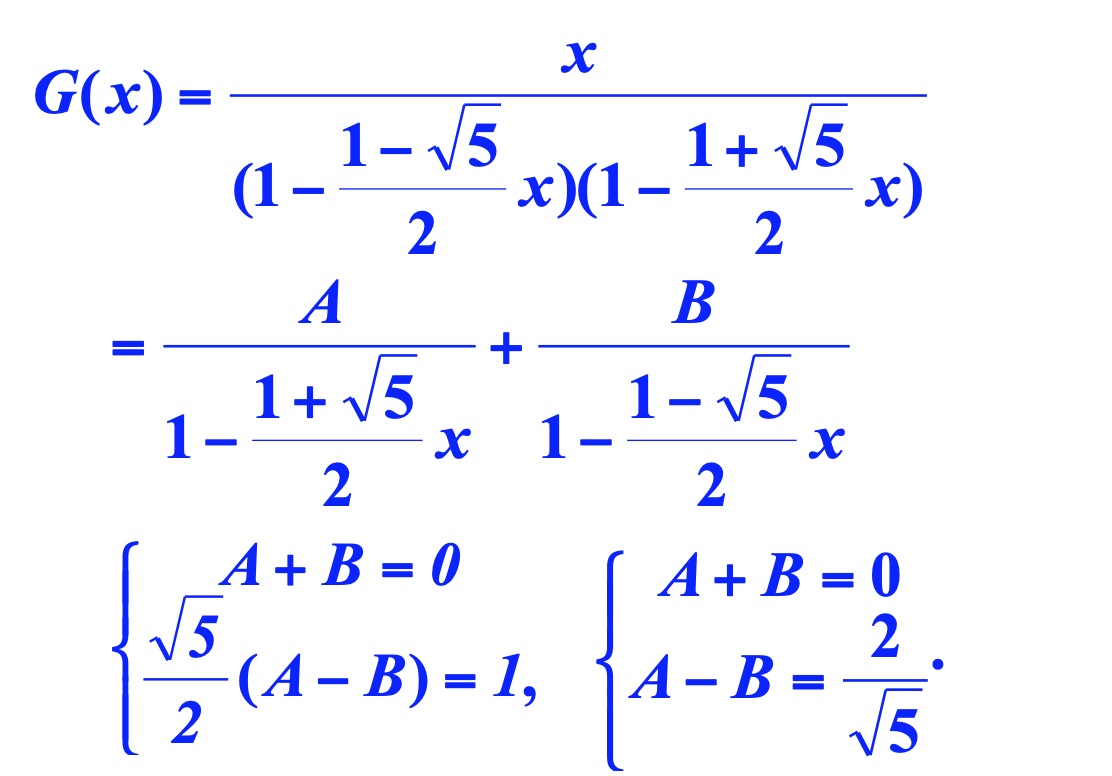
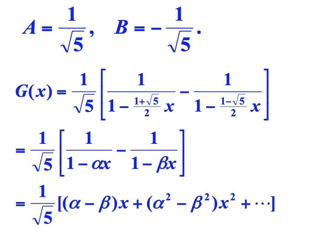
Fibonacci塔











母函数
母函数理论





母函数概念与运算









母函数常用公式



用母函数方法解计数问题






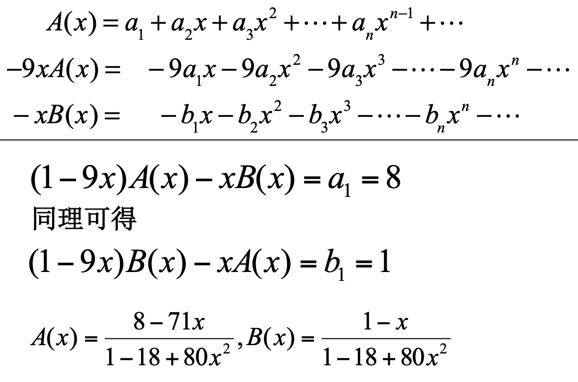
递推关系求解例子










tips

